Официальное опубликование правовых актов
ОФИЦИАЛЬНОЕ ОПУБЛИКОВАНИЕ
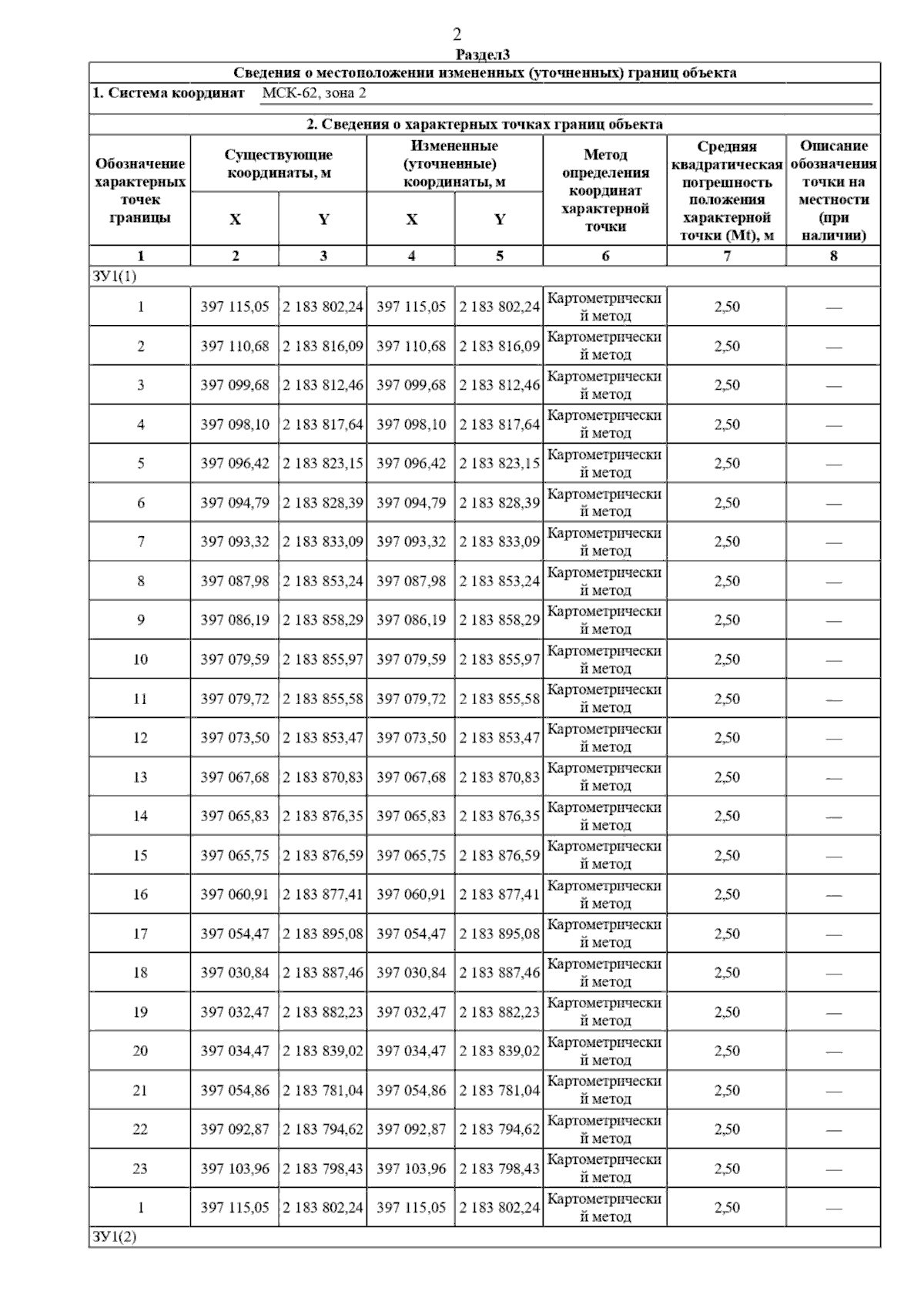
Постановление Главного управления архитектуры и градостроительства Рязанской области от 24.11.2025 № 1011-п
"О внесении изменений в правила землепользования и застройки муниципального образования - Лесновское городское поселение Шиловского муниципального района Рязанской области"
(Зарегистрирован 25.11.2025 № 1444)
Номер опубликования: 6201202511280003
Дата опубликования: 28.11.2025
Страница №20 из 40:
Увеличить