Официальное опубликование правовых актов
ОФИЦИАЛЬНОЕ ОПУБЛИКОВАНИЕ
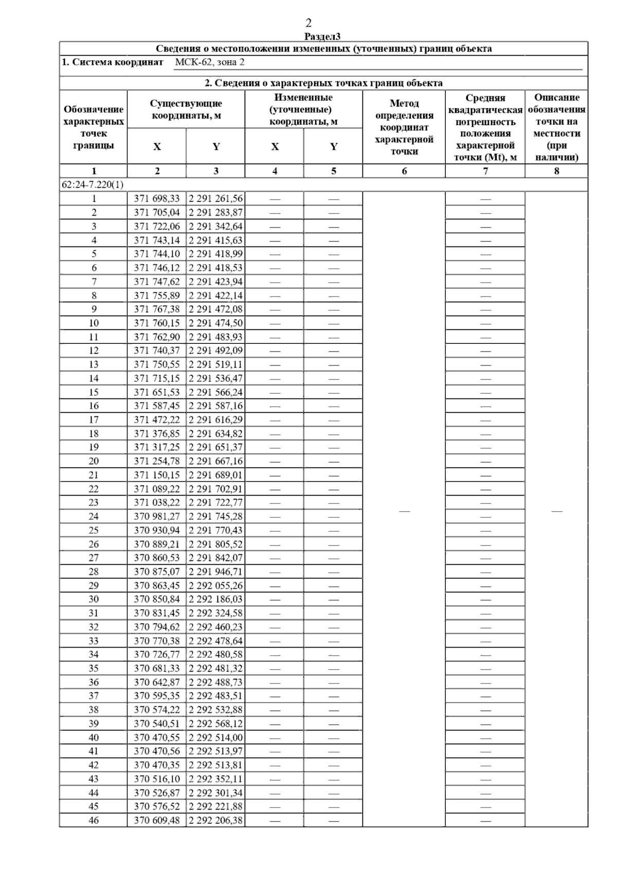
Постановление Главного управления архитектуры и градостроительства Рязанской области от 24.11.2025 № 1018-п
"О внесении изменения в правила землепользования и застройки муниципального образования - Желанновское сельское поселение Шацкого муниципального района Рязанской области"
(Зарегистрирован 25.11.2025 № 1451)
Номер опубликования: 6201202511280009
Дата опубликования: 28.11.2025
Страница №4 из 8:
Увеличить