Официальное опубликование правовых актов
ОФИЦИАЛЬНОЕ ОПУБЛИКОВАНИЕ
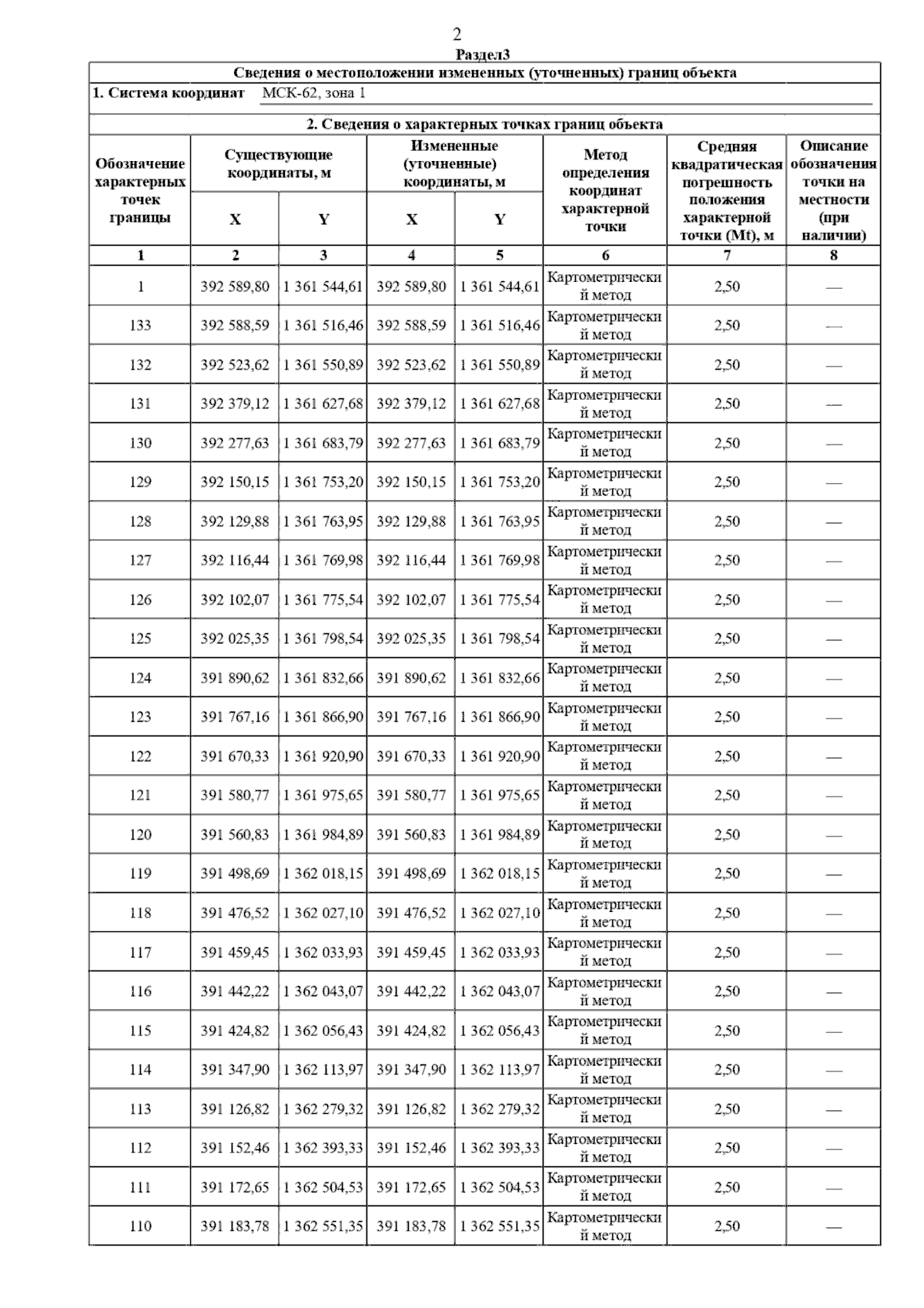
Постановление Главного управления архитектуры и градостроительства Рязанской области от 02.12.2025 № 1040-п
"О внесении изменения в генеральный план муниципального образования – Мелекшинское сельское поселение Старожиловского муниципального района Рязанской области"
(Зарегистрирован 02.12.2025 № 1495)
Номер опубликования: 6201202512080007
Дата опубликования: 08.12.2025
Страница №4 из 12:
Увеличить