Официальное опубликование правовых актов
ОФИЦИАЛЬНОЕ ОПУБЛИКОВАНИЕ
Постановление Главного управления архитектуры и градостроительства Рязанской области от 04.12.2025 № 1059-п
"О внесении изменений в правила землепользования и застройки муниципального образования – Кирицкое сельское поселение Спасского муниципального района Рязанской области"
(Зарегистрирован 05.12.2025 № 1547)
Номер опубликования: 6201202512090006
Дата опубликования: 09.12.2025
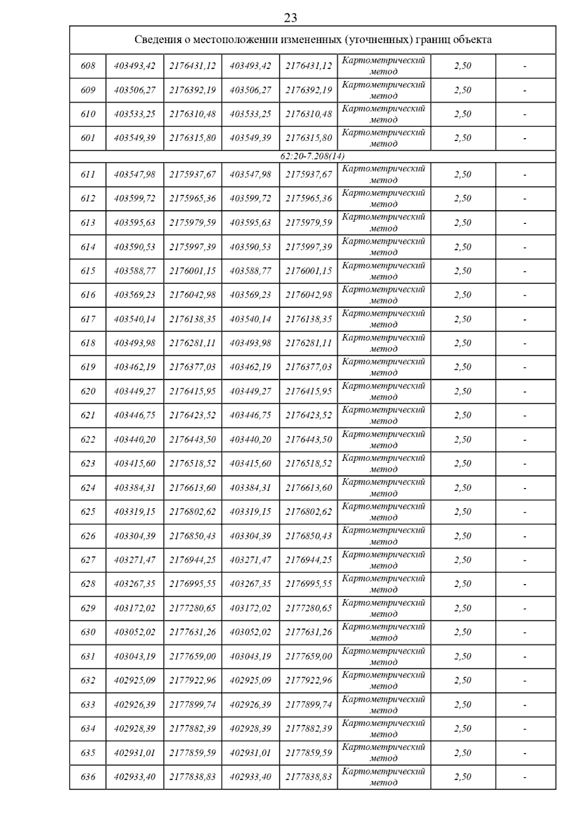
Страница №99 из 106:
Увеличить