Официальное опубликование правовых актов
ОФИЦИАЛЬНОЕ ОПУБЛИКОВАНИЕ
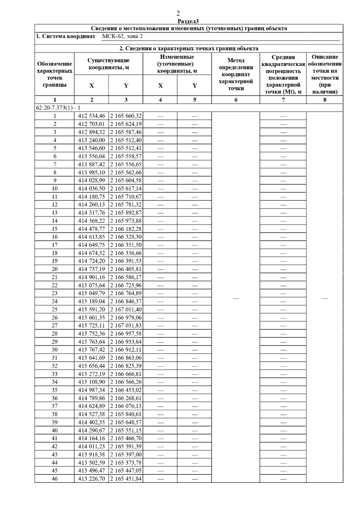
Постановление Главного управления архитектуры и градостроительства Рязанской области от 10.12.2025 № 1093-п
"О внесении изменений в правила землепользования и застройки муниципального образования - Перкинское сельское поселение Спасского муниципального района Рязанской области"
(Зарегистрирован 10.12.2025 № 1628)
Номер опубликования: 6201202512160004
Дата опубликования: 16.12.2025
Страница №47 из 68:
Увеличить