Официальное опубликование правовых актов
ОФИЦИАЛЬНОЕ ОПУБЛИКОВАНИЕ
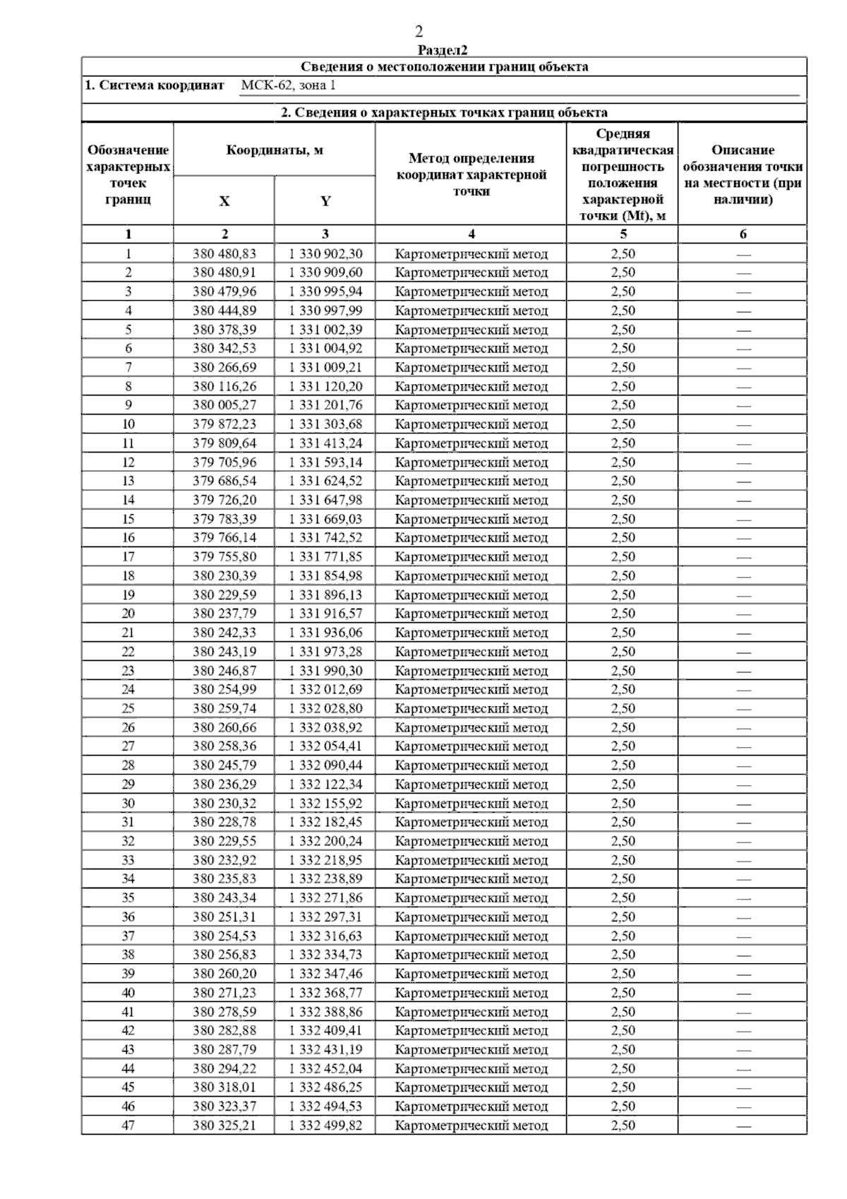
Постановление Главного управления архитектуры и градостроительства Рязанской области от 12.12.2025 № 1111-п
"О внесении изменения в генеральный план муниципального образования – Новомичуринское городское поселение Пронского муниципального района Рязанской области"
(Зарегистрирован 15.12.2025 № 1697)
Номер опубликования: 6201202512170005
Дата опубликования: 17.12.2025
Страница №4 из 20:
Увеличить