Официальное опубликование правовых актов
ОФИЦИАЛЬНОЕ ОПУБЛИКОВАНИЕ
Постановление Главного управления архитектуры и градостроительства Рязанской области от 15.12.2025 № 1118-п
"О внесении изменений в правила землепользования и застройки муниципального образования - Сапожковское городское поселение Сапожковского муниципального района Рязанской области"
(Зарегистрирован 16.12.2025 № 1709)
Номер опубликования: 6201202512180004
Дата опубликования: 18.12.2025
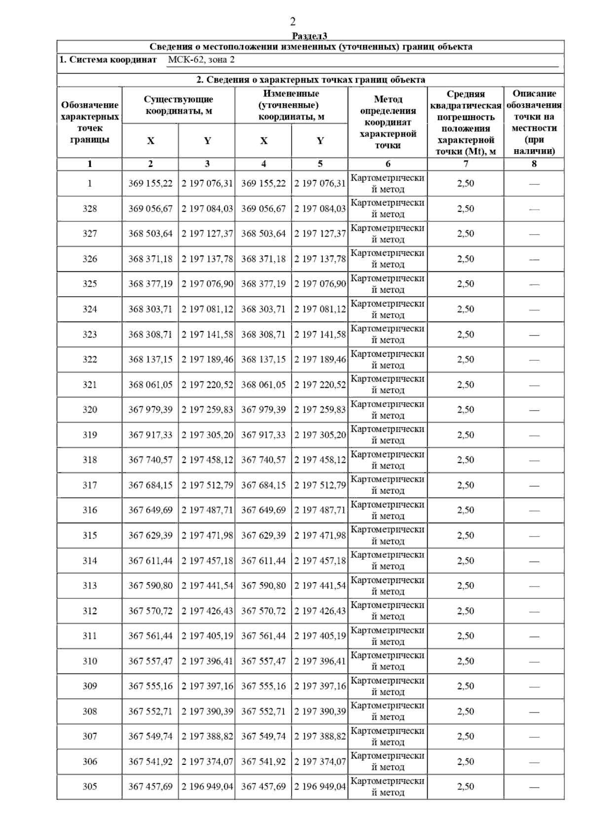
Страница №71 из 85:
Увеличить