Официальное опубликование правовых актов
ОФИЦИАЛЬНОЕ ОПУБЛИКОВАНИЕ
Постановление Главного управления архитектуры и градостроительства Рязанской области от 15.12.2025 № 1124-п
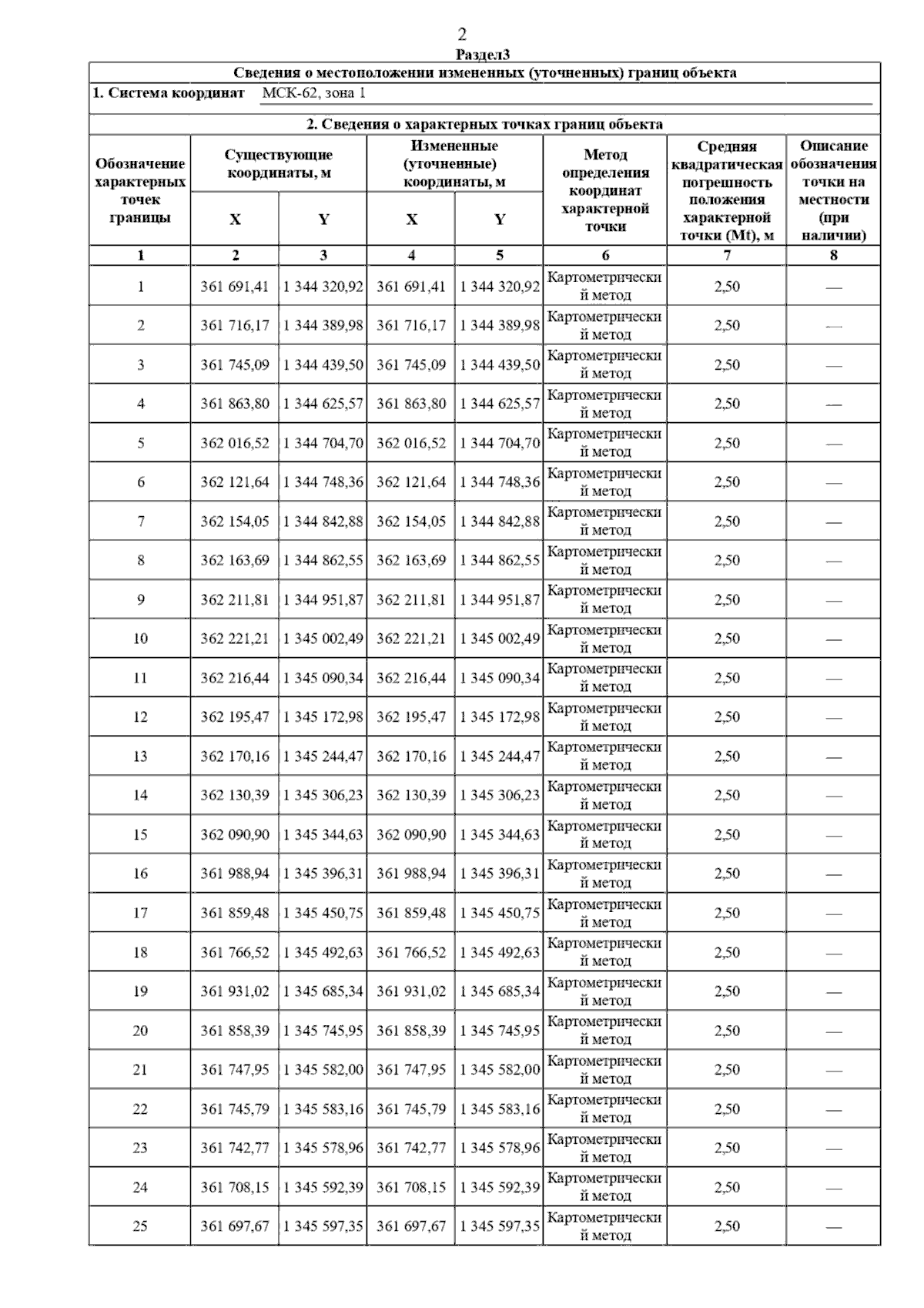
"О внесении изменения в правила землепользования и застройки муниципального образования – Кораблинский муниципальный округ Рязанской области применительно к территории Ковалинского сельского округа Кораблинского района Рязанской области"
(Зарегистрирован 16.12.2025 № 1715)
Номер опубликования: 6201202512180010
Дата опубликования: 18.12.2025
Страница №4 из 7:
Увеличить