Официальное опубликование правовых актов
ОФИЦИАЛЬНОЕ ОПУБЛИКОВАНИЕ
Постановление Главного управления архитектуры и градостроительства Рязанской области от 16.12.2025 № 1149-п
"О внесении изменения в генеральный план муниципального образования – Канинское сельское поселение Сапожковского муниципального района Рязанской области"
(Зарегистрирован 18.12.2025 № 1799)
Номер опубликования: 6201202512220001
Дата опубликования: 22.12.2025
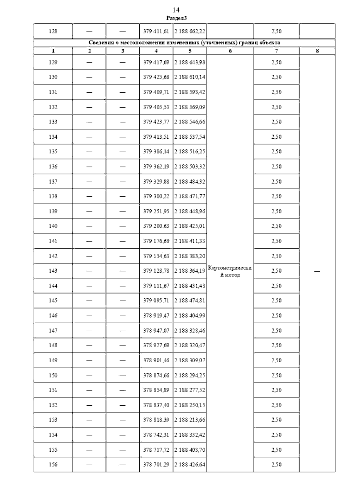
Страница №16 из 25:
Увеличить