Официальное опубликование правовых актов
ОФИЦИАЛЬНОЕ ОПУБЛИКОВАНИЕ
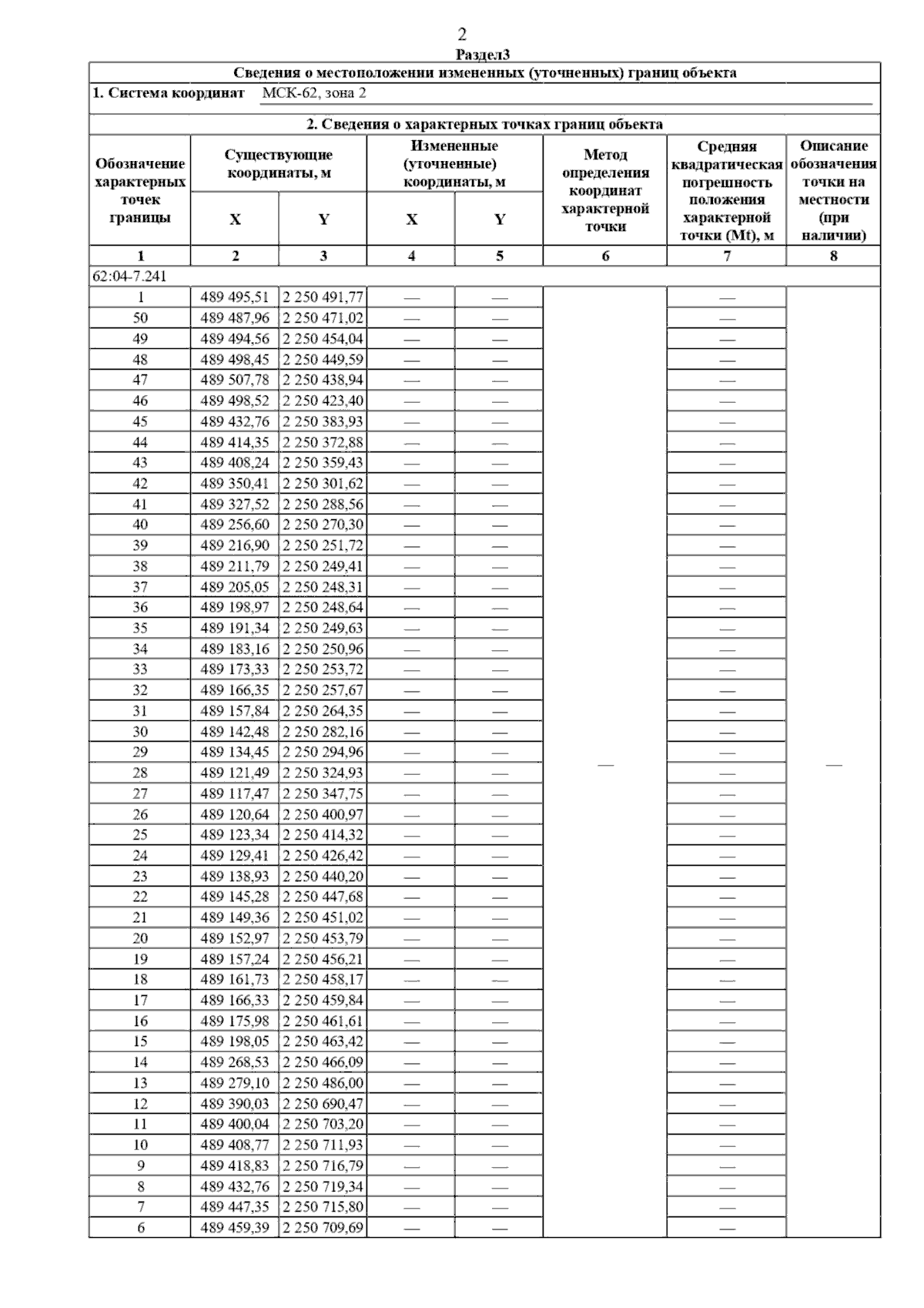
Постановление Главного управления архитектуры и градостроительства Рязанской области от 19.12.2025 № 1166-п
"О внесении изменений в правила землепользования и застройки муниципального образования – Касимовский муниципальный округ Рязанской области применительно к территории Торбаевского сельского округа Касимовского района Рязанской области"
(Зарегистрирован 22.12.2025 № 1879)
Номер опубликования: 6201202512240022
Дата опубликования: 24.12.2025
Страница №12 из 15:
Увеличить