Официальное опубликование правовых актов
ОФИЦИАЛЬНОЕ ОПУБЛИКОВАНИЕ
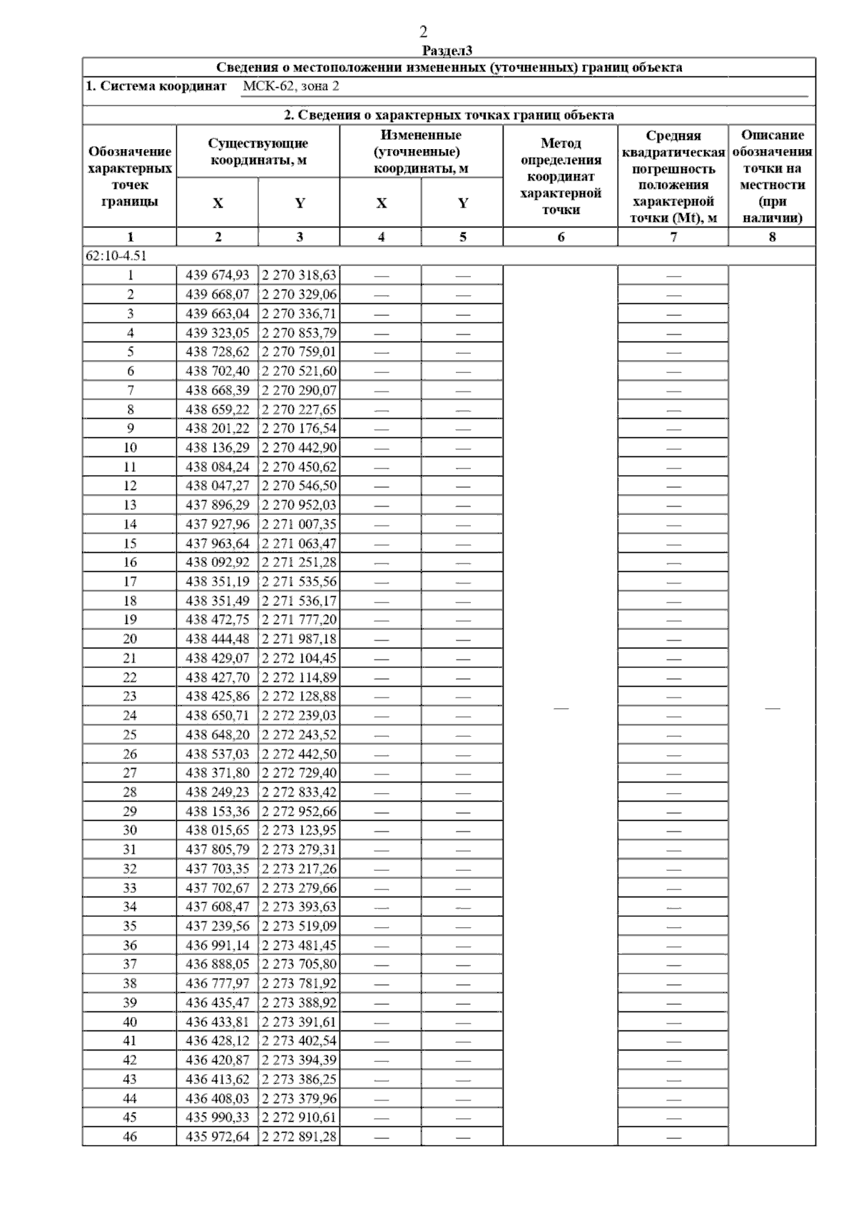
Постановление Главного управления архитектуры и градостроительства Рязанской области от 18.12.2025 № 1163-п
"О внесении изменений в генеральный план муниципального образования – Пителинский муниципальный округ Рязанской области применительно к территориям рабочего поселка Пителино с прилегающей территорией, Пеньковского и Потапьевского сельских округов Пителинского района Рязанской области"
(Зарегистрирован 22.12.2025 № 1876)
Номер опубликования: 6201202512240024
Дата опубликования: 24.12.2025
Страница №8 из 23:
Увеличить