Официальное опубликование правовых актов
ОФИЦИАЛЬНОЕ ОПУБЛИКОВАНИЕ
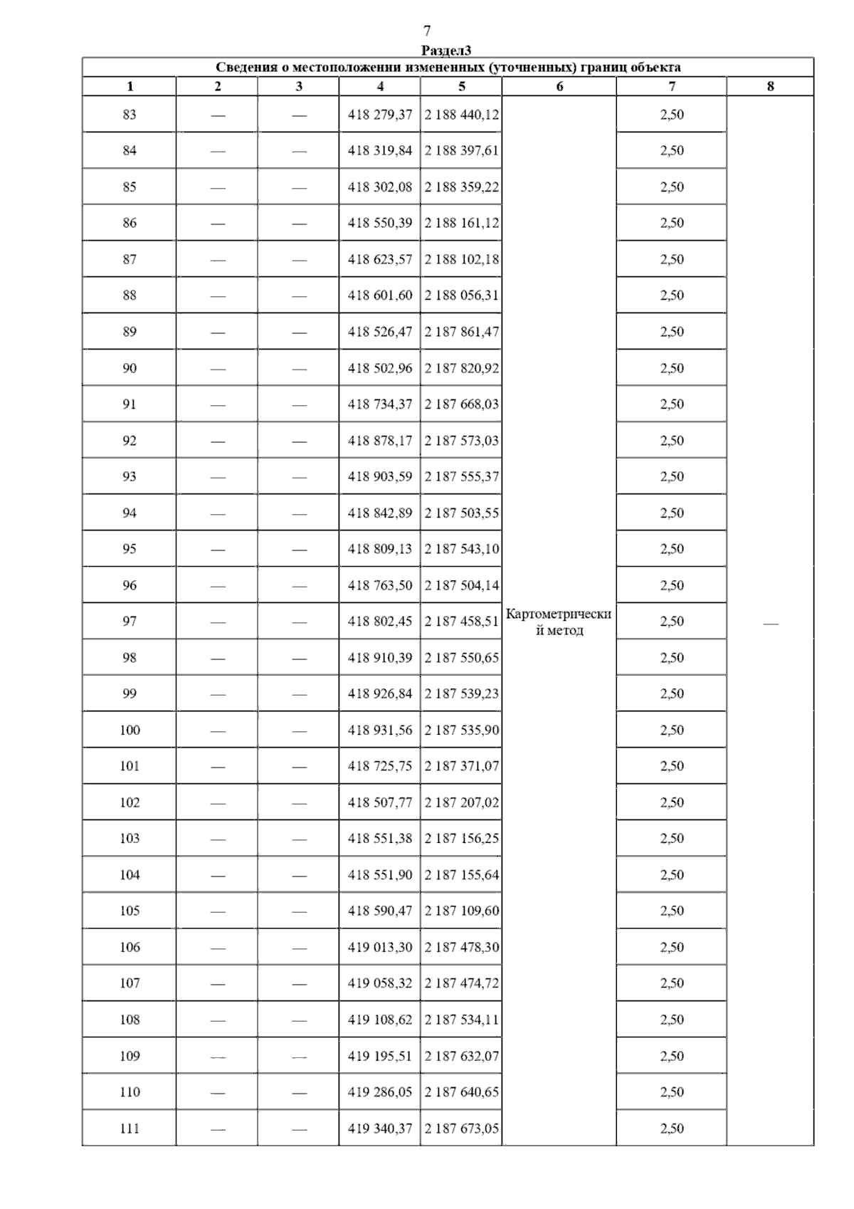
Постановление Главного управления архитектуры и градостроительства Рязанской области от 18.12.2025 № 1162-п
"О внесении изменения в генеральный план муниципального образования – Исадское сельское поселение Спасского муниципального района Рязанской области"
(Зарегистрирован 22.12.2025 № 1875)
Номер опубликования: 6201202512240025
Дата опубликования: 24.12.2025
Страница №9 из 10:
Увеличить