Официальное опубликование правовых актов
ОФИЦИАЛЬНОЕ ОПУБЛИКОВАНИЕ
Постановление Главного управления архитектуры и градостроительства Рязанской области от 19.12.2025 № 1169-п
"О внесении изменений в правила землепользования и застройки муниципального образования - Ряжский муниципальный округ Рязанской области применительно к территориям города Ряжск с прилегающей территорией, Алешинского и Журавинского сельских округов Ряжского района Рязанской области"
(Зарегистрирован 22.12.2025 № 1882)
Номер опубликования: 6201202512240029
Дата опубликования: 24.12.2025
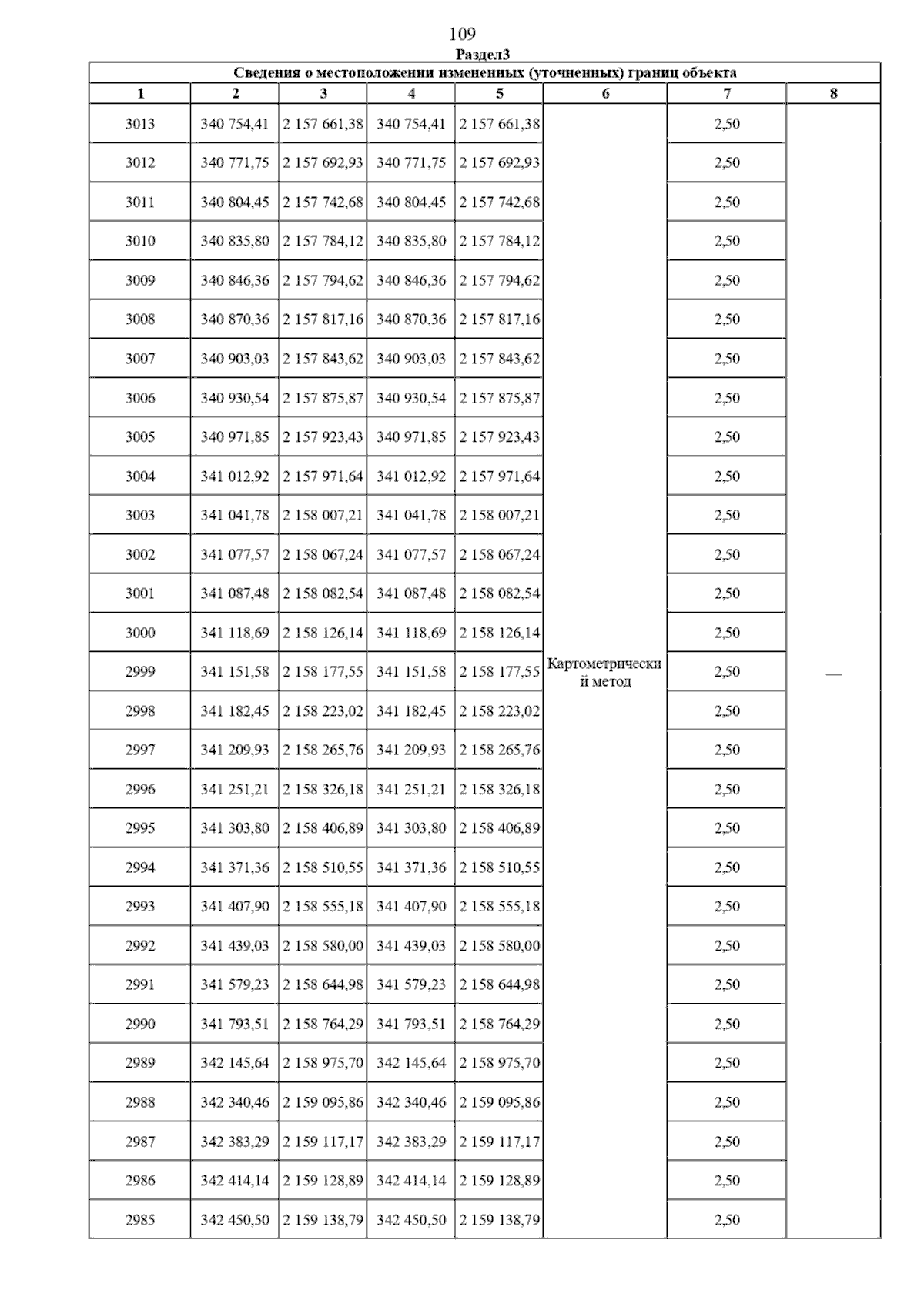
Страница №111 из 160:
Увеличить