Официальное опубликование правовых актов
ОФИЦИАЛЬНОЕ ОПУБЛИКОВАНИЕ
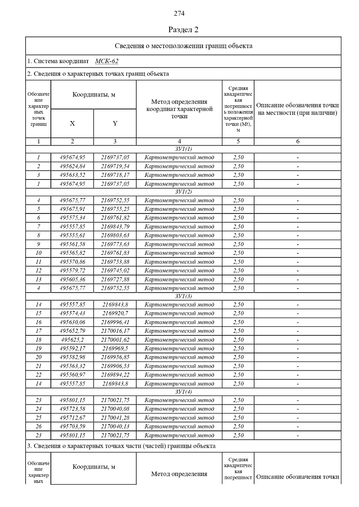
Постановление Главного управления архитектуры и градостроительства Рязанской области от 19.12.2025 № 1177-п
"Об утверждении правил землепользования и застройки муниципального образования – Екшурское сельское поселение Клепиковского муниципального района Рязанской области"
(Зарегистрирован 23.12.2025 № 1913)
Номер опубликования: 6201202512240036
Дата опубликования: 24.12.2025
Страница №316 из 330:
Увеличить