Официальное опубликование правовых актов
ОФИЦИАЛЬНОЕ ОПУБЛИКОВАНИЕ
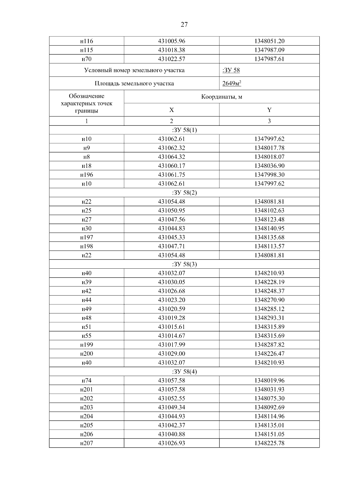
Постановление Главного управления архитектуры и градостроительства Рязанской области от 23.01.2026 № 33-п
"Об утверждении проекта межевания территории СНТ "Виктория"
(Зарегистрирован 23.01.2026 № 46)
Номер опубликования: 6201202601290004
Дата опубликования: 29.01.2026
Страница №29 из 34:
Увеличить