Официальное опубликование правовых актов
ОФИЦИАЛЬНОЕ ОПУБЛИКОВАНИЕ
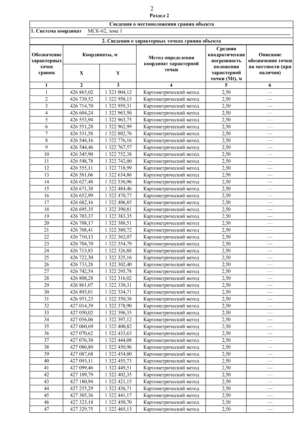
Постановление Главного управления архитектуры и градостроительства Рязанской области от 23.01.2026 № 32-п
"О внесении изменения в генеральный план муниципального образования – Екимовское сельское поселение Рязанского муниципального района Рязанской области"
(Зарегистрирован 23.01.2026 № 45)
Номер опубликования: 6201202601290005
Дата опубликования: 29.01.2026
Страница №4 из 5:
Увеличить