Официальное опубликование правовых актов
ОФИЦИАЛЬНОЕ ОПУБЛИКОВАНИЕ
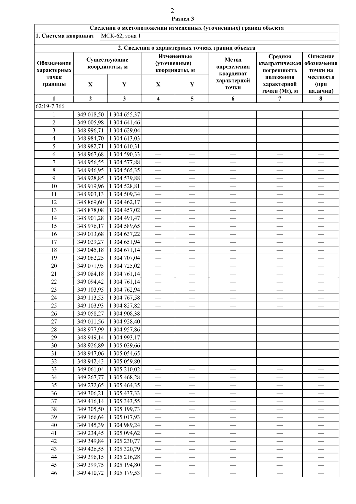
Постановление Главного управления архитектуры и градостроительства Рязанской области от 26.01.2026 № 41-п
"О внесении изменений в правила землепользования и застройки муниципального образования – Павелецкое городское поселение Скопинского муниципального района Рязанской области"
(Зарегистрирован 27.01.2026 № 57)
Номер опубликования: 6201202601290013
Дата опубликования: 29.01.2026
Страница №18 из 28:
Увеличить