Официальное опубликование правовых актов
ОФИЦИАЛЬНОЕ ОПУБЛИКОВАНИЕ
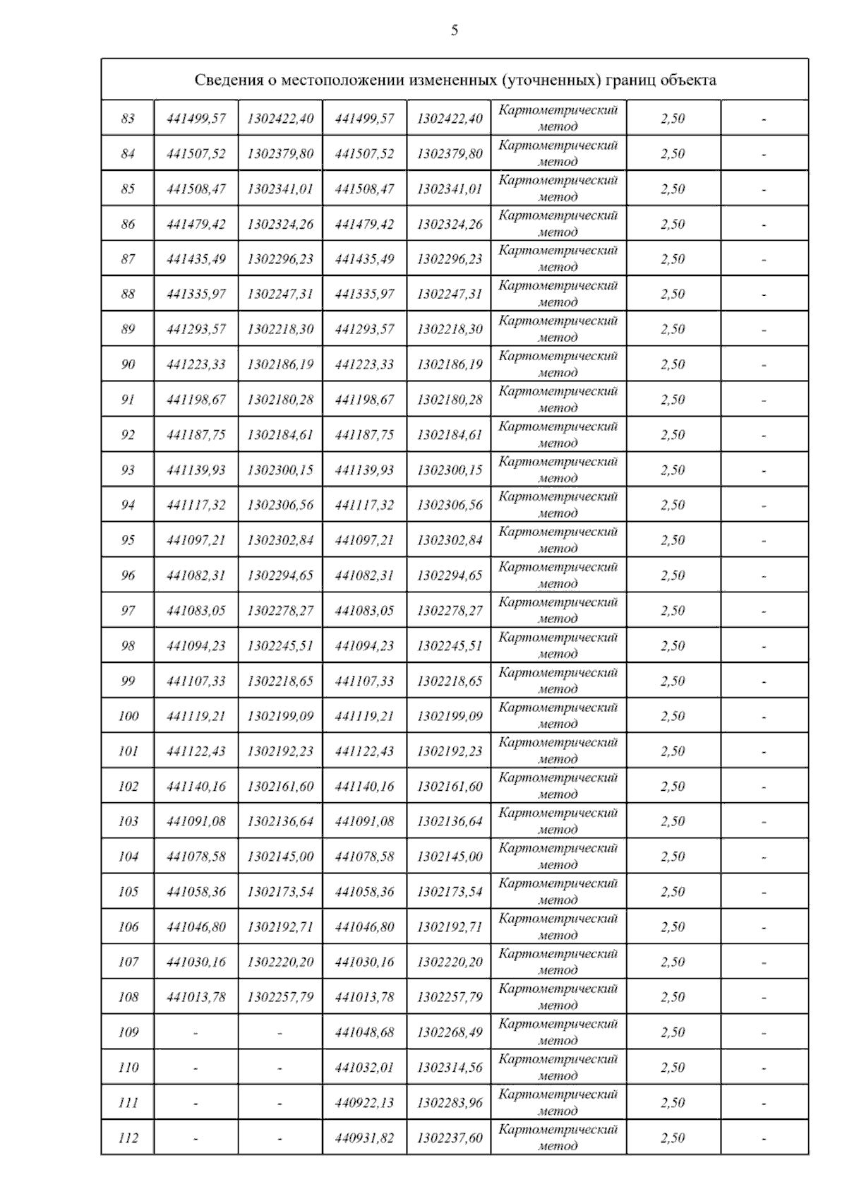
Постановление Главного управления архитектуры и градостроительства Рязанской области от 02.02.2026 № 51-п
"О внесении изменений в генеральный план муниципального образования – Алешинское сельское поселение Рыбновского муниципального района Рязанской области"
(Зарегистрирован 03.02.2026 № 80)
Номер опубликования: 6201202602040001
Дата опубликования: 04.02.2026
Страница №10 из 12:
Увеличить