Официальное опубликование правовых актов
ОФИЦИАЛЬНОЕ ОПУБЛИКОВАНИЕ
Постановление Главного управления архитектуры и градостроительства Рязанской области от 02.02.2026 № 52-п
"О внесении изменений в правила землепользования и застройки муниципального образования - Алешинское сельское поселение Рыбновского муниципального района Рязанской области"
(Зарегистрирован 03.02.2026 № 81)
Номер опубликования: 6201202602040007
Дата опубликования: 04.02.2026
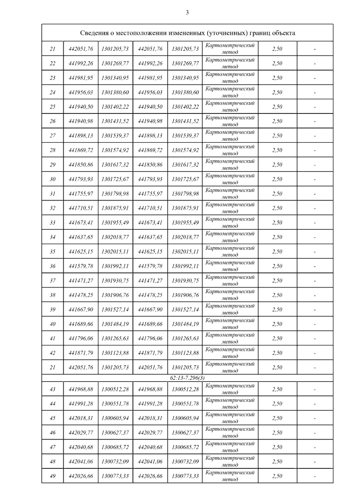
Страница №6 из 12:
Увеличить