Официальное опубликование правовых актов
ОФИЦИАЛЬНОЕ ОПУБЛИКОВАНИЕ
Постановление Главного управления архитектуры и градостроительства Рязанской области от 03.02.2026 № 64-п
"О внесении изменений в правила землепользования и застройки муниципального образования – Нижнеякимецкое сельское поселение Александро-Невского муниципального района Рязанской области"
(Зарегистрирован 04.02.2026 № 95)
Номер опубликования: 6201202602050007
Дата опубликования: 05.02.2026
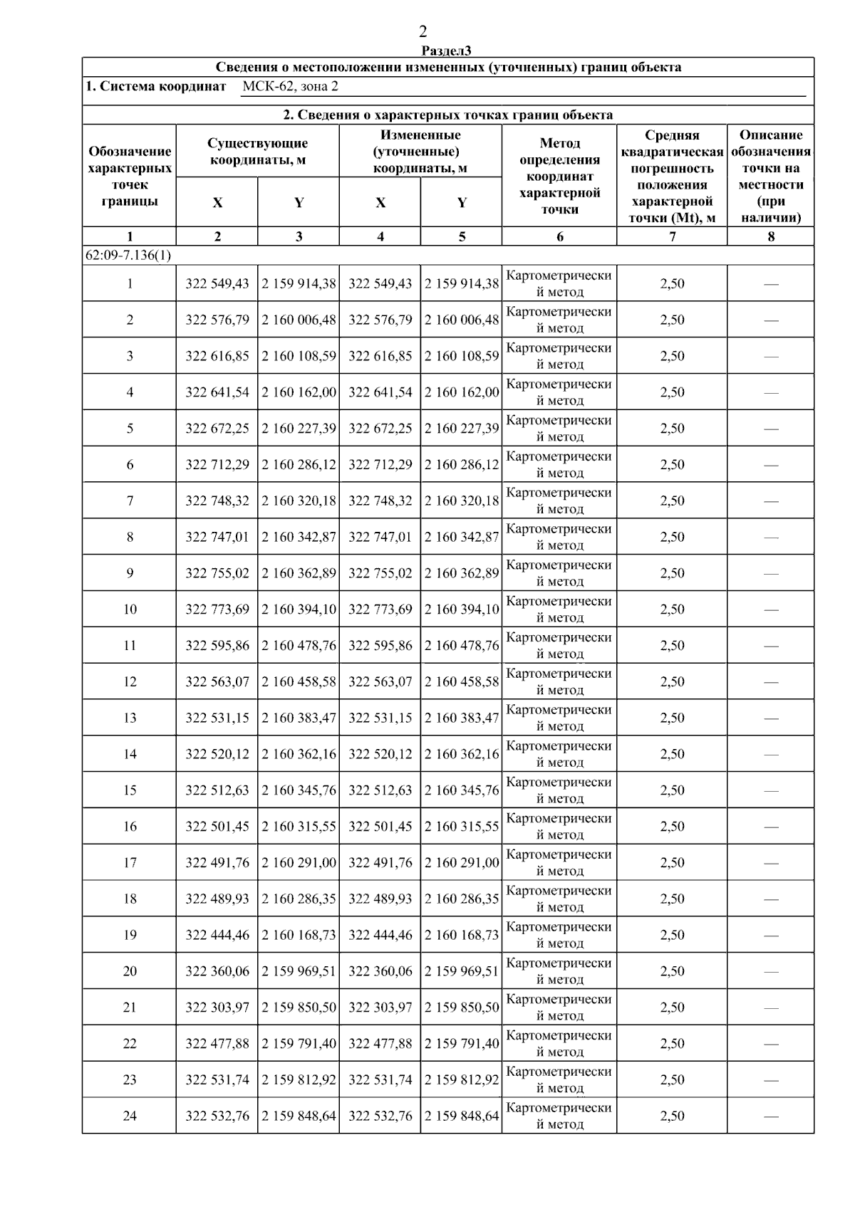
Страница №4 из 45:
Увеличить