Официальное опубликование правовых актов
ОФИЦИАЛЬНОЕ ОПУБЛИКОВАНИЕ
Постановление Главного управления архитектуры и градостроительства Рязанской области от 04.02.2026 № 71-п
"О внесении изменения в правила землепользования и застройки муниципального образования - Кутуковское сельское поселение Спасского муниципального района Рязанской области"
(Зарегистрирован 05.02.2026 № 103)
Номер опубликования: 6201202602090009
Дата опубликования: 09.02.2026
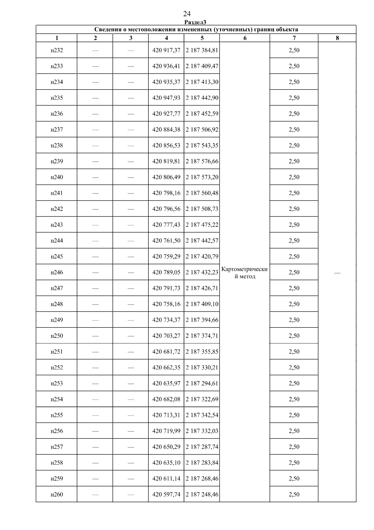
Страница №26 из 78:
Увеличить