Официальное опубликование правовых актов
ОФИЦИАЛЬНОЕ ОПУБЛИКОВАНИЕ
Постановление Главного управления архитектуры и градостроительства Рязанской области от 11.02.2026 № 111-п
"О внесении изменений в правила землепользования и застройки муниципального образования - Ямбирнское сельское поселение Шацкого муниципального района Рязанской области"
(Зарегистрирован 12.02.2026 № 149)
Номер опубликования: 6201202602130007
Дата опубликования: 13.02.2026
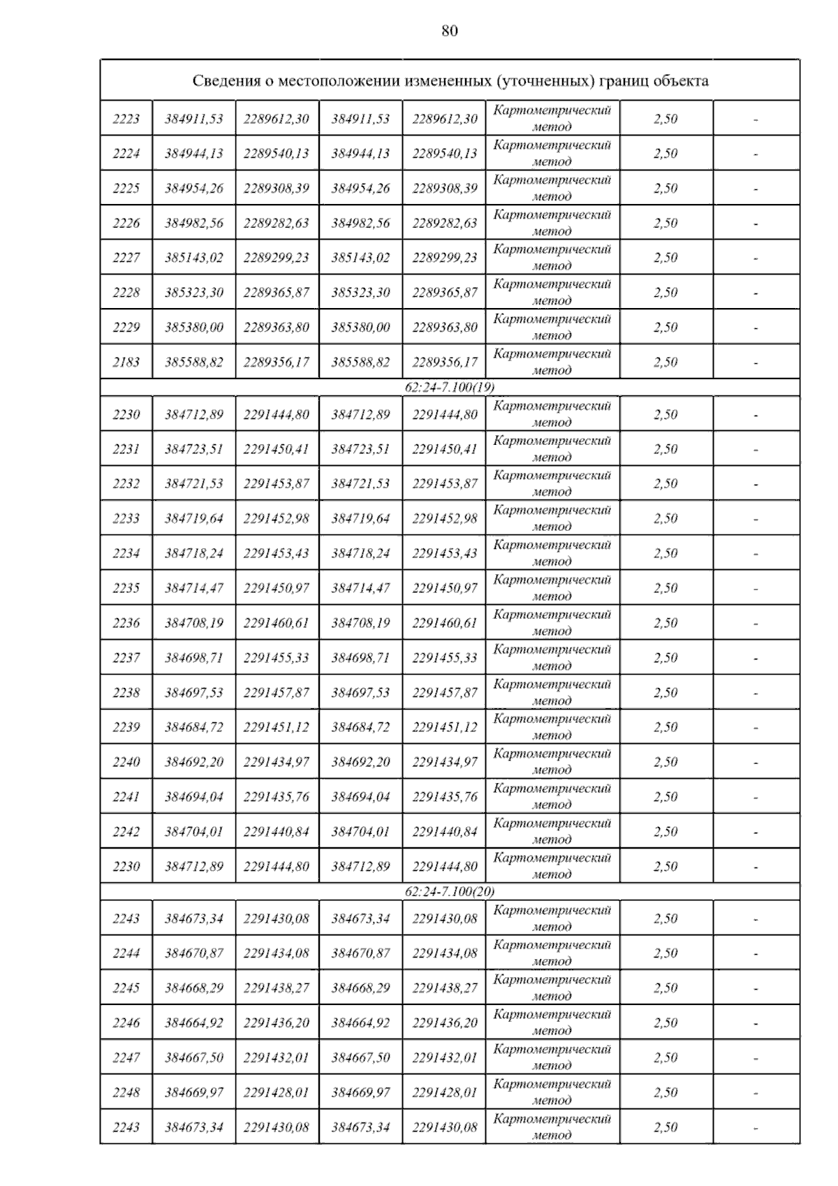
Страница №89 из 90:
Увеличить