Официальное опубликование правовых актов
ОФИЦИАЛЬНОЕ ОПУБЛИКОВАНИЕ
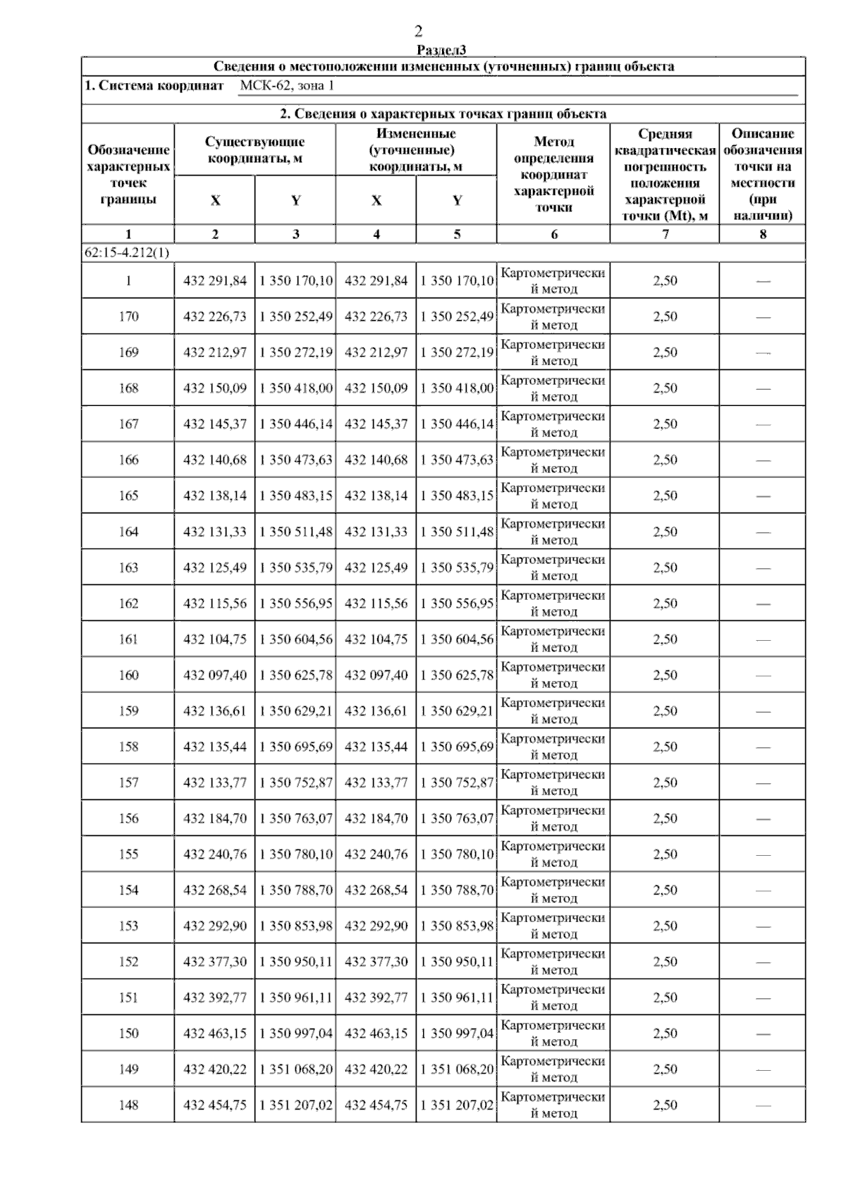
Постановление Главного управления архитектуры и градостроительства Рязанской области от 12.02.2026 № 130-п
"О внесении изменения в генеральный план муниципального образования – Вышгородское сельское поселение Рязанского муниципального района Рязанской области"
(Зарегистрирован 13.02.2026 № 171)
Номер опубликования: 6201202602160005
Дата опубликования: 16.02.2026
Страница №4 из 14:
Увеличить