Официальное опубликование правовых актов
ОФИЦИАЛЬНОЕ ОПУБЛИКОВАНИЕ
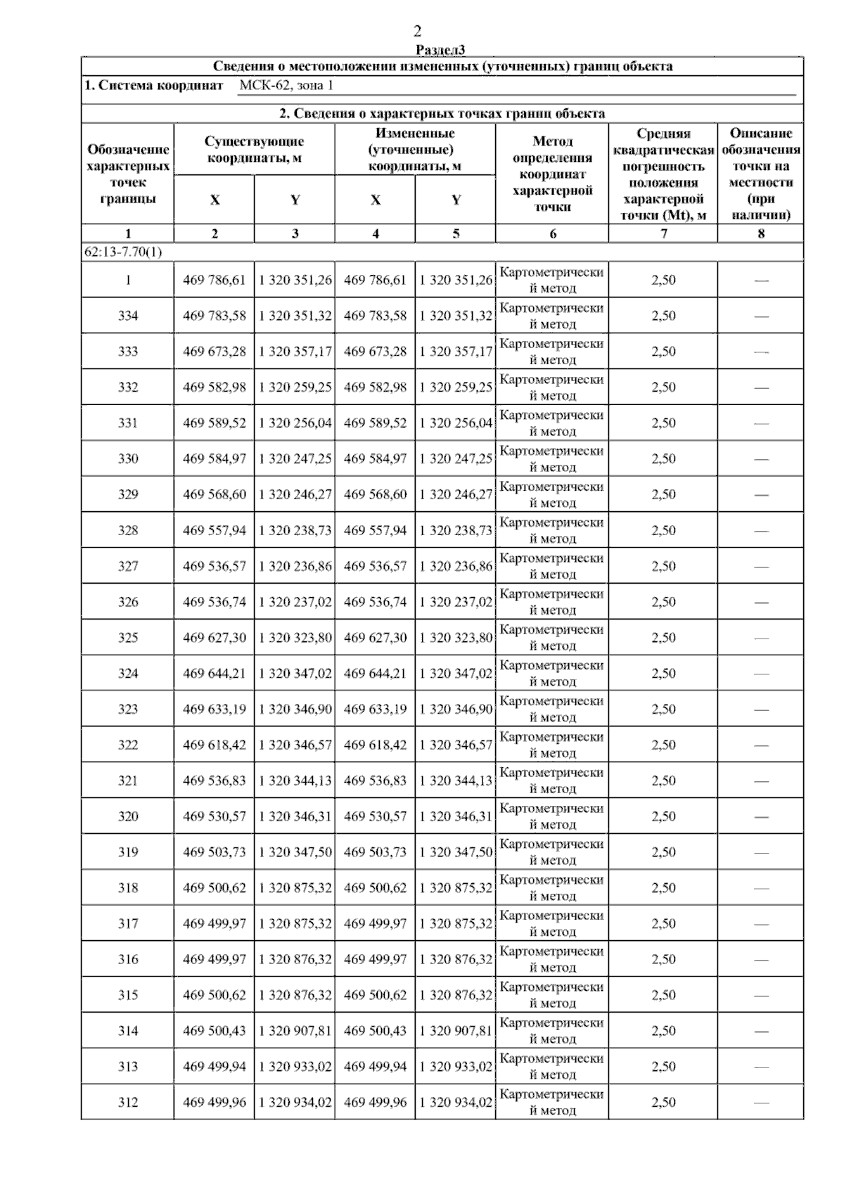
Постановление Главного управления архитектуры и градостроительства Рязанской области от 12.02.2026 № 132-п
"О внесении изменений в правила землепользования и застройки муниципального образования – Кузьминское сельское поселение Рыбновского муниципального района Рязанской области"
(Зарегистрирован 13.02.2026 № 173)
Номер опубликования: 6201202602160010
Дата опубликования: 16.02.2026
Страница №4 из 98:
Увеличить