Официальное опубликование правовых актов
ОФИЦИАЛЬНОЕ ОПУБЛИКОВАНИЕ
Постановление Главного управления архитектуры и градостроительства Рязанской области от 18.02.2026 № 136-п
"О внесении изменений в генеральный план муниципального образования – Дубровическое сельское поселение Рязанского муниципального района Рязанской области"
(Зарегистрирован 18.02.2026 № 188)
Номер опубликования: 6201202602200003
Дата опубликования: 20.02.2026
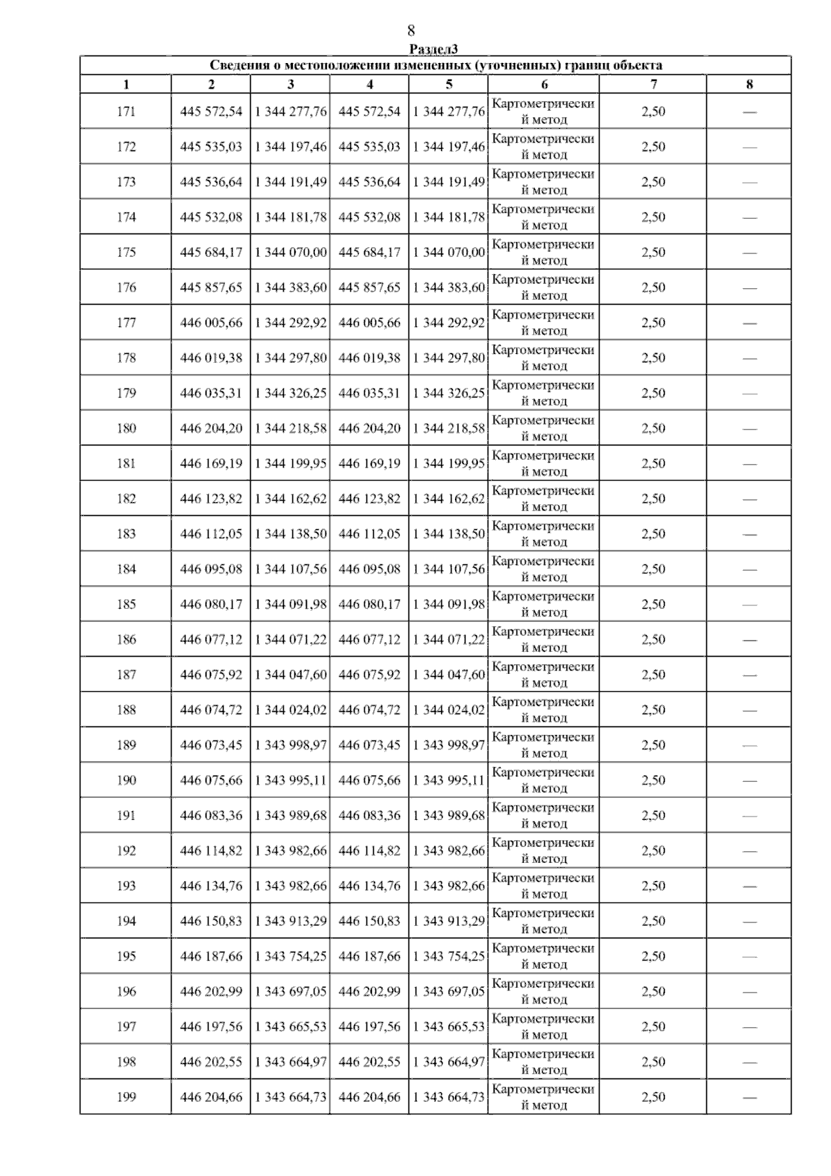
Страница №14 из 20:
Увеличить