Официальное опубликование правовых актов
ОФИЦИАЛЬНОЕ ОПУБЛИКОВАНИЕ
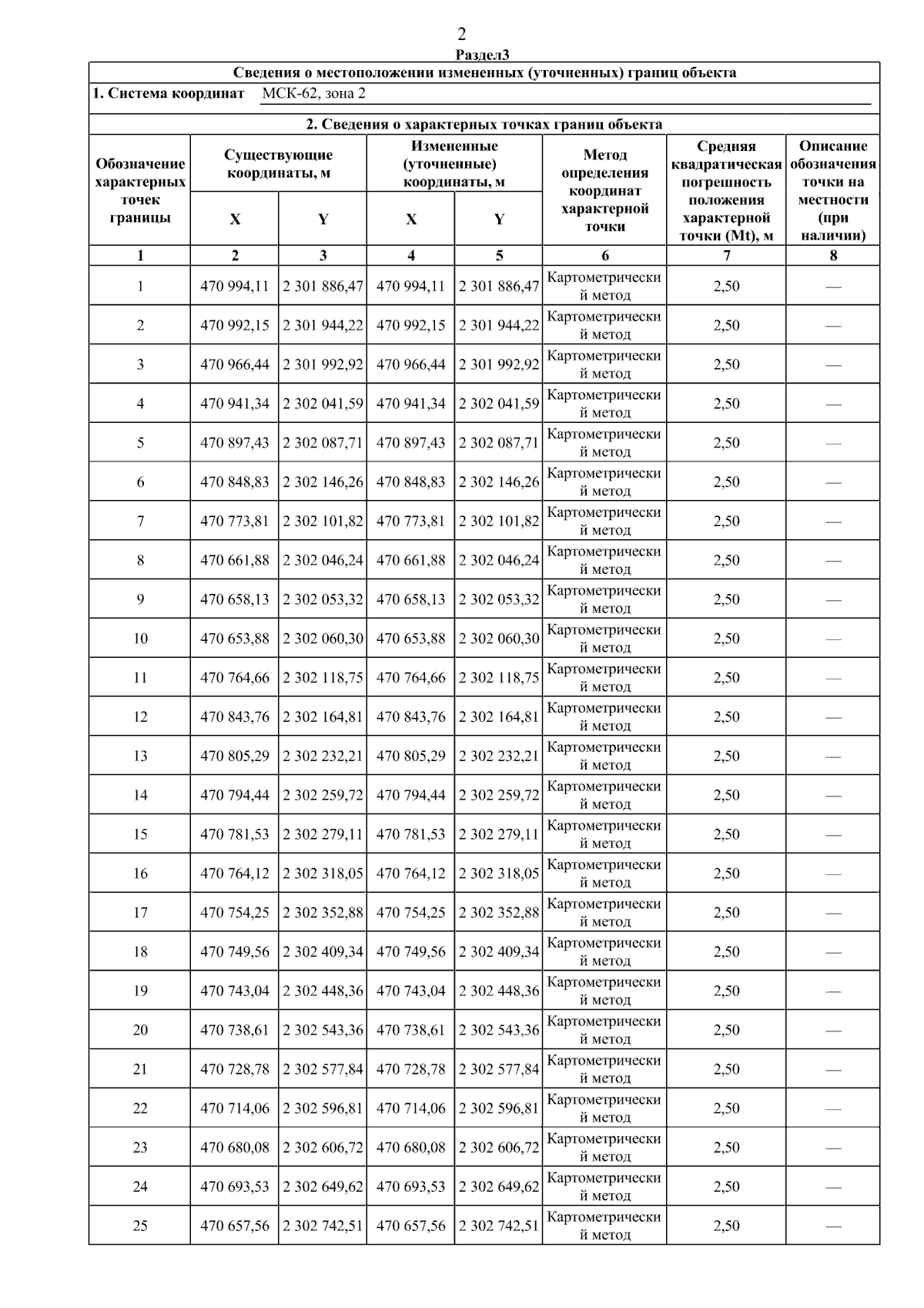
Постановление Главного управления архитектуры и градостроительства Рязанской области от 18.02.2026 № 143-п
"О внесении изменения в генеральный план муниципального образования – Мердушинское сельское поселение Ермишинского муниципального района Рязанской области"
(Зарегистрирован 18.02.2026 № 195)
Номер опубликования: 6201202602200004
Дата опубликования: 20.02.2026
Страница №4 из 11:
Увеличить