Официальное опубликование правовых актов
ОФИЦИАЛЬНОЕ ОПУБЛИКОВАНИЕ
Постановление Главного управления архитектуры и градостроительства Рязанской области от 18.02.2026 № 141-п
"О внесении изменений в правила землепользования и застройки муниципального образования – Захаровское сельское поселение Захаровского муниципального района Рязанской области"
(Зарегистрирован 18.02.2026 № 193)
Номер опубликования: 6201202602200009
Дата опубликования: 20.02.2026
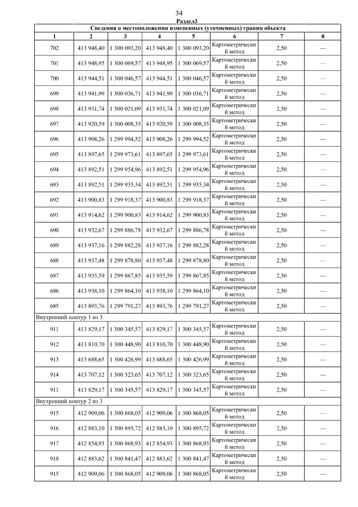
Страница №36 из 57:
Увеличить