Официальное опубликование правовых актов
ОФИЦИАЛЬНОЕ ОПУБЛИКОВАНИЕ
Постановление Главного управления архитектуры и градостроительства Рязанской области от 19.02.2026 № 149-п
"О внесении изменения в генеральный план муниципального образования – Алексеевское сельское поселение Сараевского муниципального района Рязанской области"
(Зарегистрирован 20.02.2026 № 205)
Номер опубликования: 6201202602240006
Дата опубликования: 24.02.2026
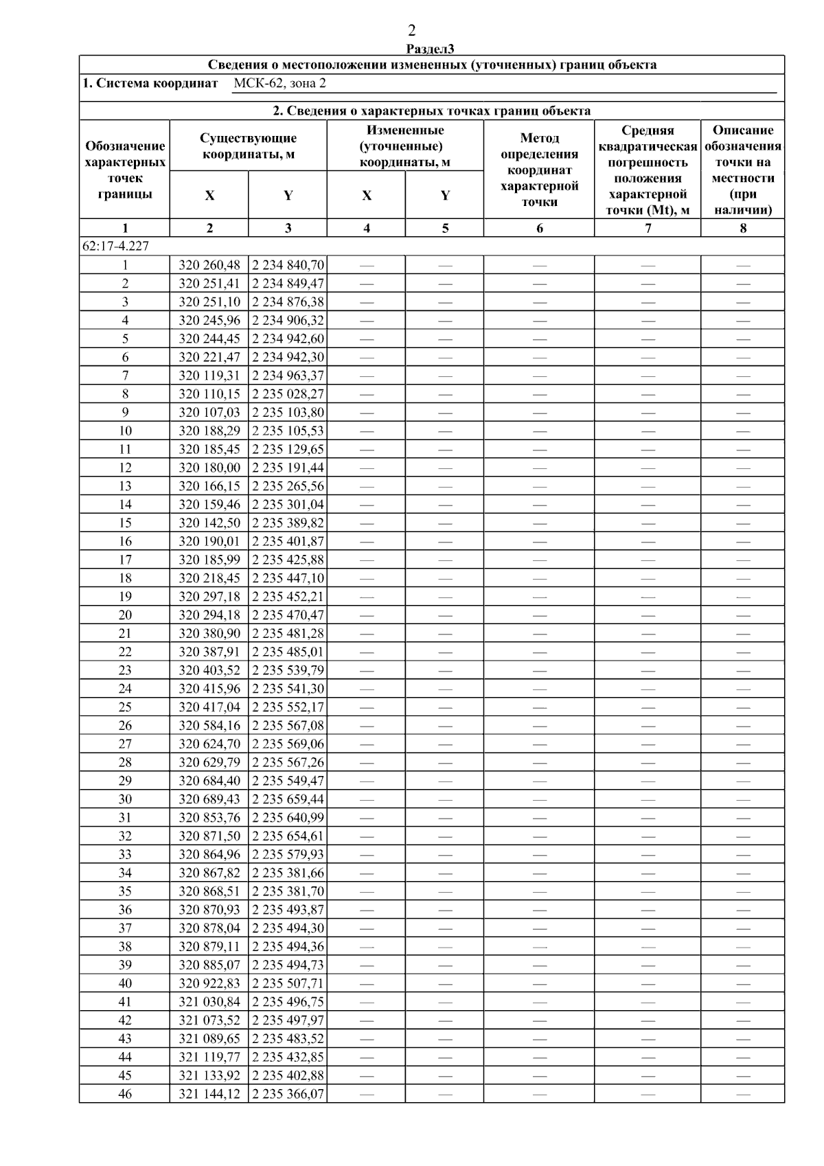
Страница №4 из 9:
Увеличить