Официальное опубликование правовых актов
ОФИЦИАЛЬНОЕ ОПУБЛИКОВАНИЕ
Постановление Главного управления архитектуры и градостроительства Рязанской области от 20.02.2026 № 160-п
"О внесении изменений в правила землепользования и застройки муниципального образования - Павелецкое городское поселение Скопинского муниципального района Рязанской области"
(Зарегистрирован 24.02.2026 № 217)
Номер опубликования: 6201202602260015
Дата опубликования: 26.02.2026
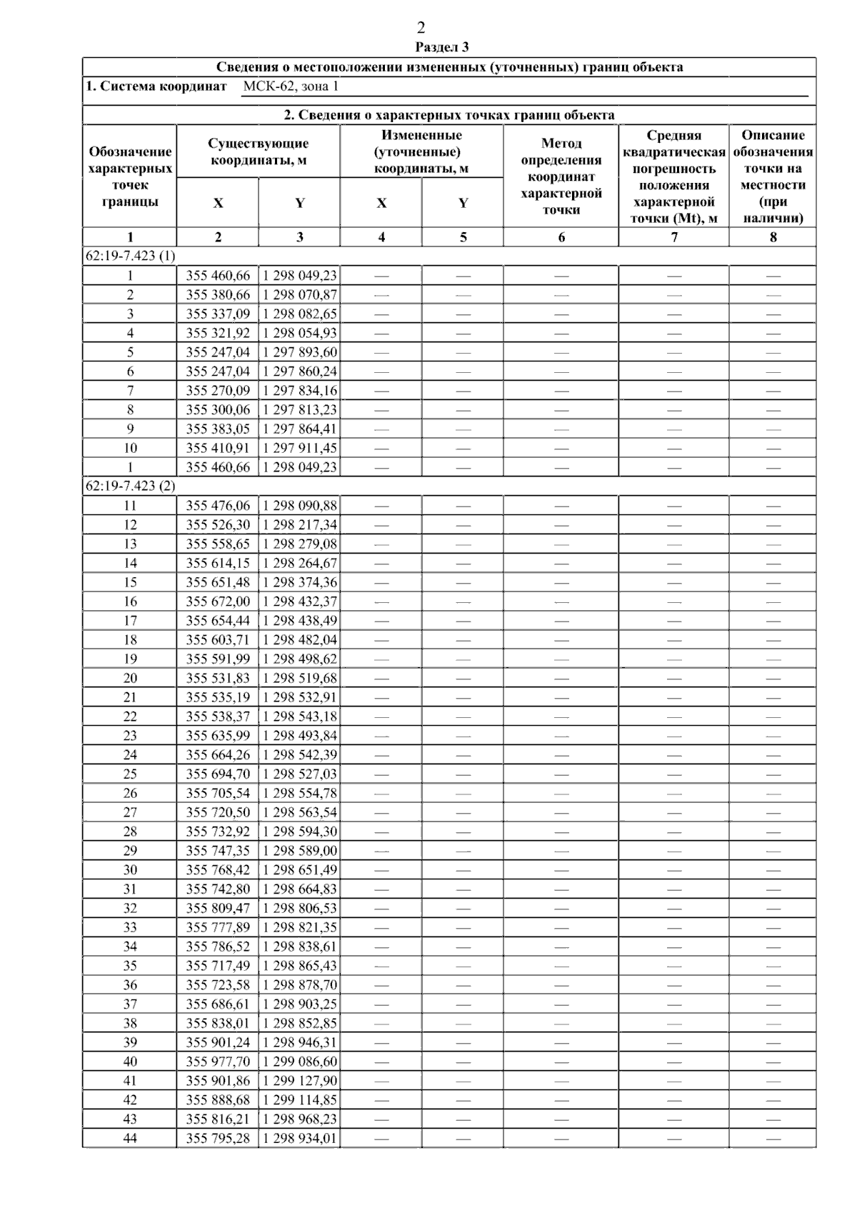
Страница №5 из 104:
Увеличить