Официальное опубликование правовых актов
ОФИЦИАЛЬНОЕ ОПУБЛИКОВАНИЕ
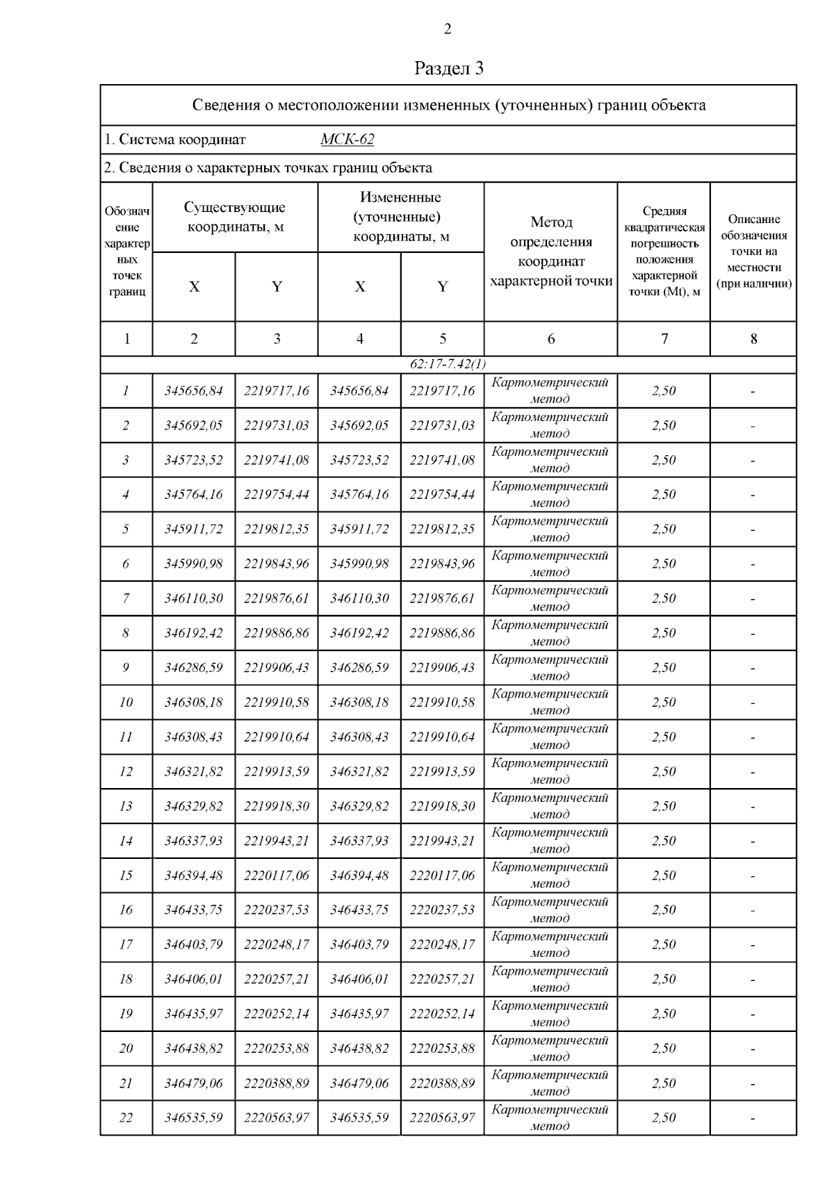
Постановление Главного управления архитектуры и градостроительства Рязанской области от 24.02.2026 № 171-п
"О внесении изменений в правила землепользования и застройки муниципального образования - Сараевское городское поселение Сараевского муниципального района Рязанской области"
(Зарегистрирован 26.02.2026 № 233)
Номер опубликования: 6201202603030007
Дата опубликования: 03.03.2026
Страница №5 из 90:
Увеличить