Официальное опубликование правовых актов
ОФИЦИАЛЬНОЕ ОПУБЛИКОВАНИЕ
Постановление Главного управления архитектуры и градостроительства Рязанской области от 27.02.2026 № 178-п
"О внесении изменения в генеральный план муниципального образования – Шиловское городское поселение Шиловского муниципального района Рязанской области"
(Зарегистрирован 27.02.2026 № 244)
Номер опубликования: 6201202603040008
Дата опубликования: 04.03.2026
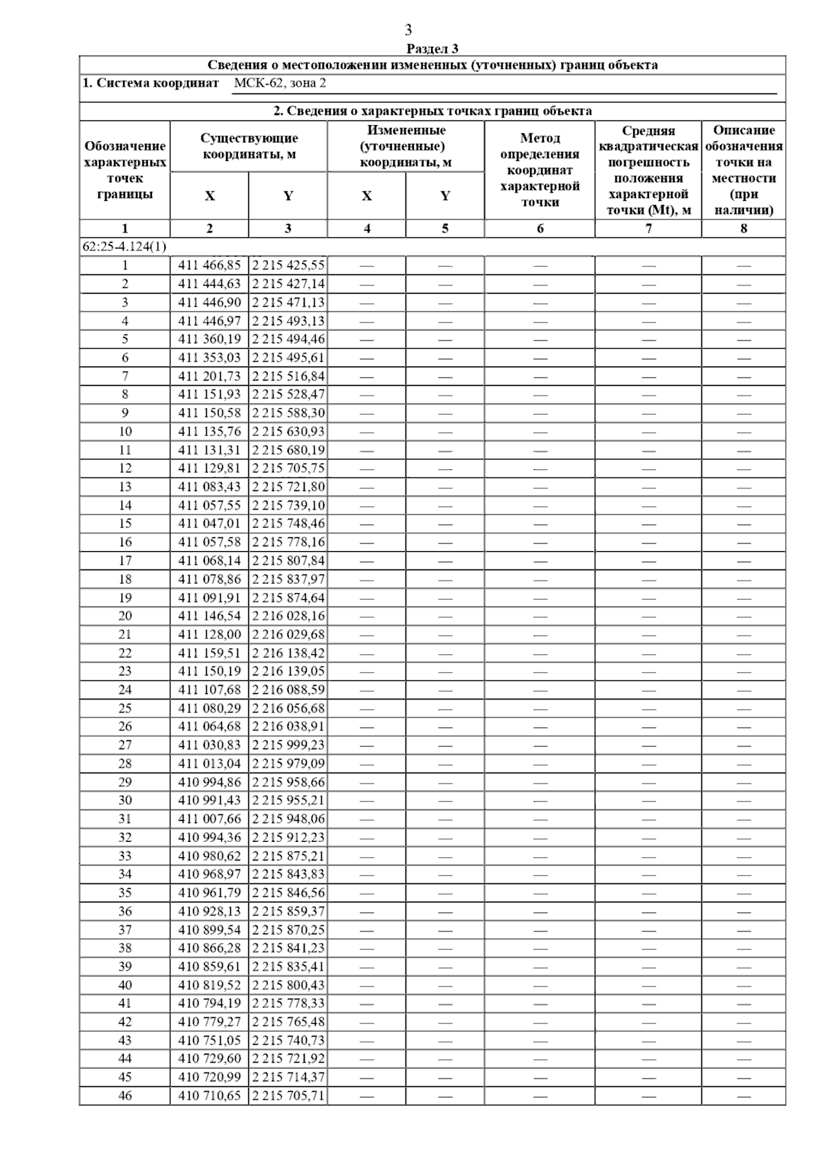
Страница №15 из 55:
Увеличить