Официальное опубликование правовых актов
ОФИЦИАЛЬНОЕ ОПУБЛИКОВАНИЕ
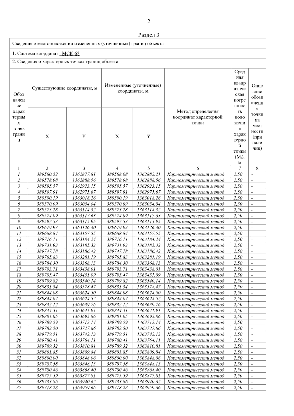
Постановление Главного управления архитектуры и градостроительства Рязанской области от 27.02.2026 № 177-п
"О внесении изменений в правила землепользования и застройки муниципального образования - Мелекшинское сельское поселение Старожиловского муниципального района Рязанской области"
(Зарегистрирован 27.02.2026 № 243)
Номер опубликования: 6201202603040009
Дата опубликования: 04.03.2026
Страница №138 из 141:
Увеличить