Официальное опубликование правовых актов
ОФИЦИАЛЬНОЕ ОПУБЛИКОВАНИЕ
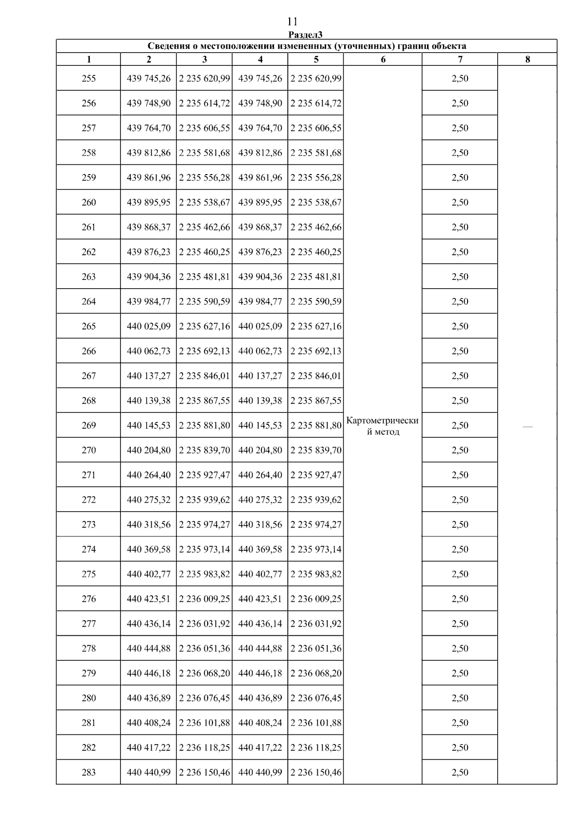
Постановление Главного управления архитектуры и градостроительства Рязанской области от 04.03.2026 № 182-п
"О внесении изменения в генеральный план муниципального образования – Занино-Починковское сельское поселение Шиловского муниципального района Рязанской области"
(Зарегистрирован 05.03.2026 № 259)
Номер опубликования: 6201202603100003
Дата опубликования: 10.03.2026
Страница №13 из 14:
Увеличить