Официальное опубликование правовых актов
ОФИЦИАЛЬНОЕ ОПУБЛИКОВАНИЕ
Постановление Главного управления архитектуры и градостроительства Рязанской области от 10.03.2026 № 189-п
"О внесении изменения в правила землепользования и застройки муниципального образования - Дядьковское сельское поселение Рязанского муниципального района Рязанской области"
(Зарегистрирован 11.03.2026 № 271)
Номер опубликования: 6201202603170001
Дата опубликования: 17.03.2026
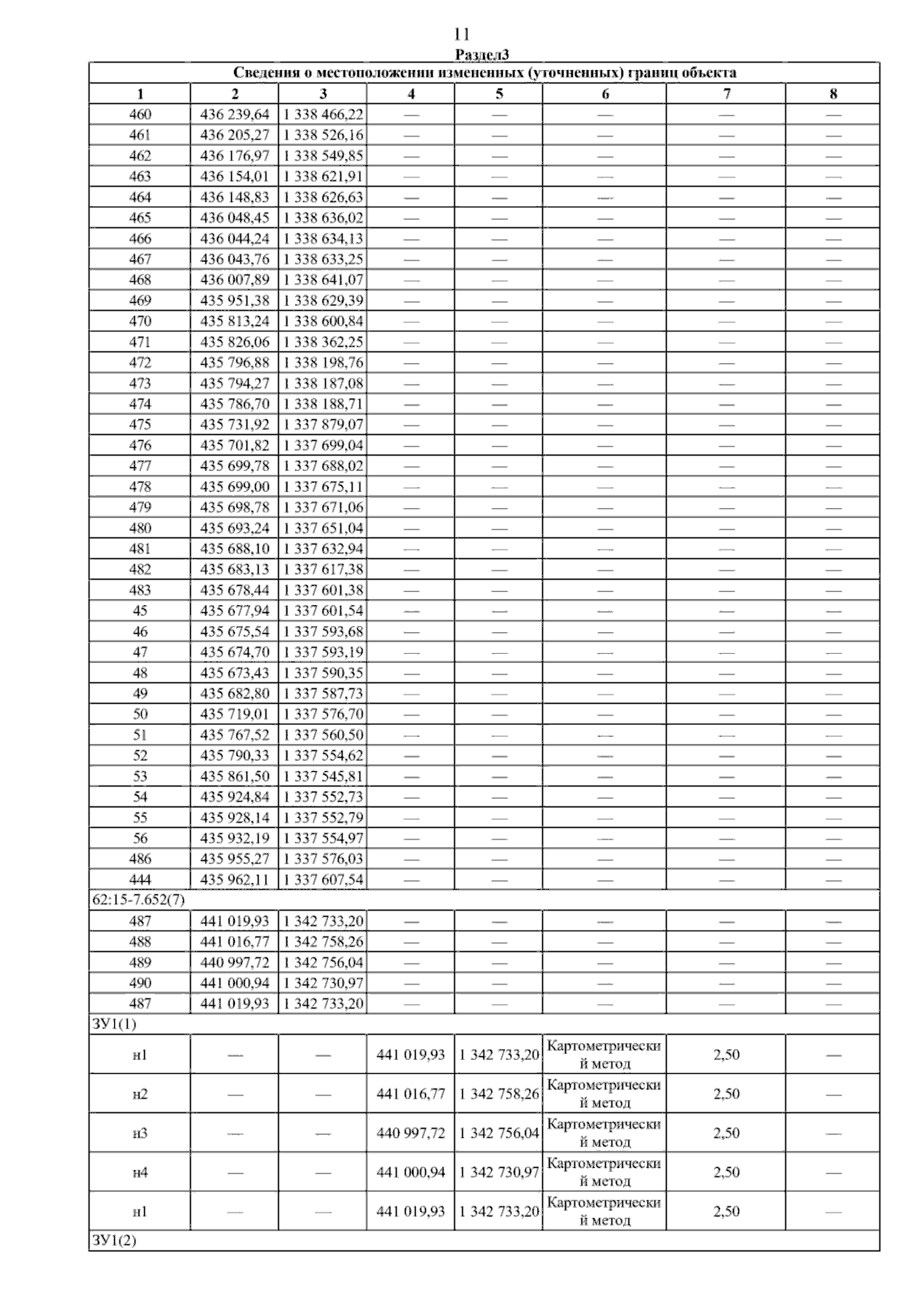
Страница №13 из 32:
Увеличить