Официальное опубликование правовых актов
ОФИЦИАЛЬНОЕ ОПУБЛИКОВАНИЕ
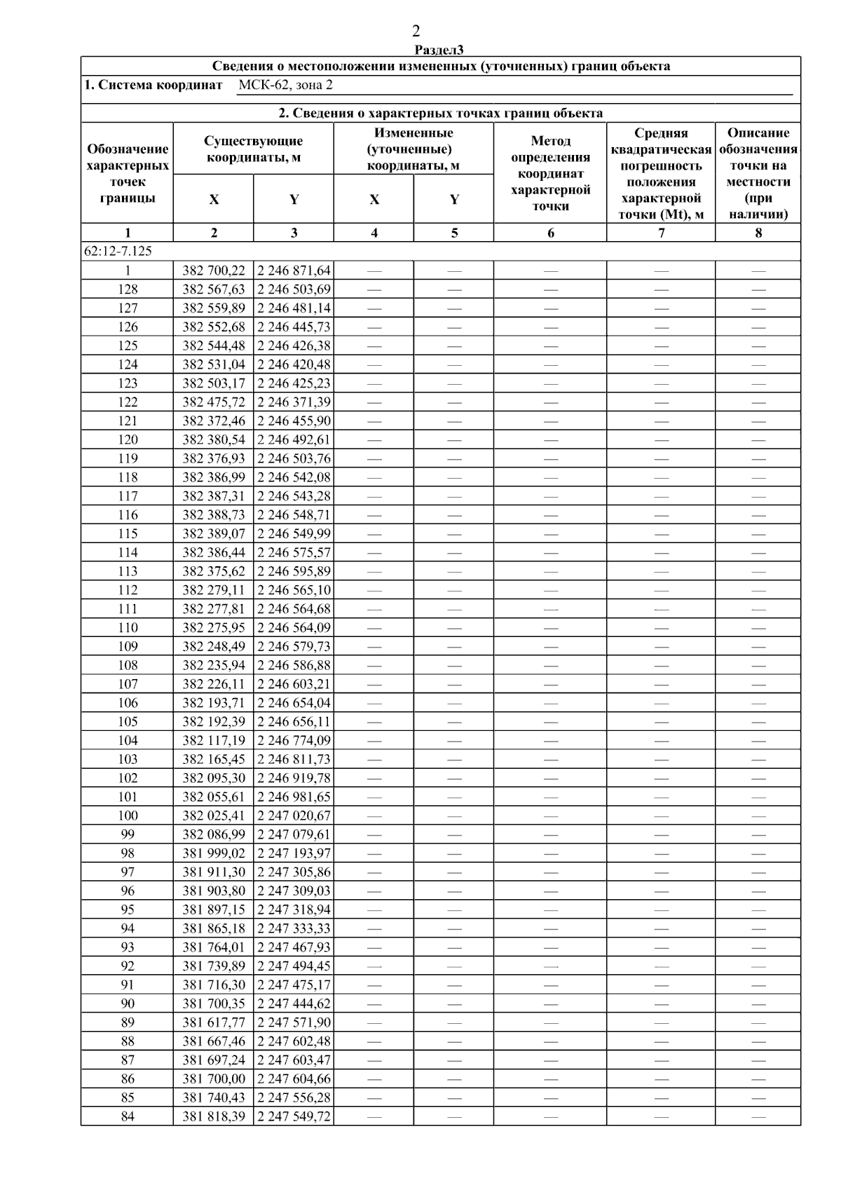
Постановление Главного управления архитектуры и градостроительства Рязанской области от 10.03.2026 № 186-п
"О внесении изменения в правила землепользования и застройки муниципального образования - Путятинский муниципальный округ Рязанской области применительно к территории Большеекатериновского сельского округа Путятинского района Рязанской области"
(Зарегистрирован 11.03.2026 № 268)
Номер опубликования: 6201202603170006
Дата опубликования: 17.03.2026
Страница №4 из 15:
Увеличить