Официальное опубликование правовых актов
ОФИЦИАЛЬНОЕ ОПУБЛИКОВАНИЕ
Постановление Главного управления архитектуры и градостроительства Рязанской области от 11.03.2026 № 195-п
"О внесении изменений в правила землепользования и застройки муниципального образования - Агишевское сельское поселение Шацкого муниципального района Рязанской области"
(Зарегистрирован 12.03.2026 № 279)
Номер опубликования: 6201202603170013
Дата опубликования: 17.03.2026
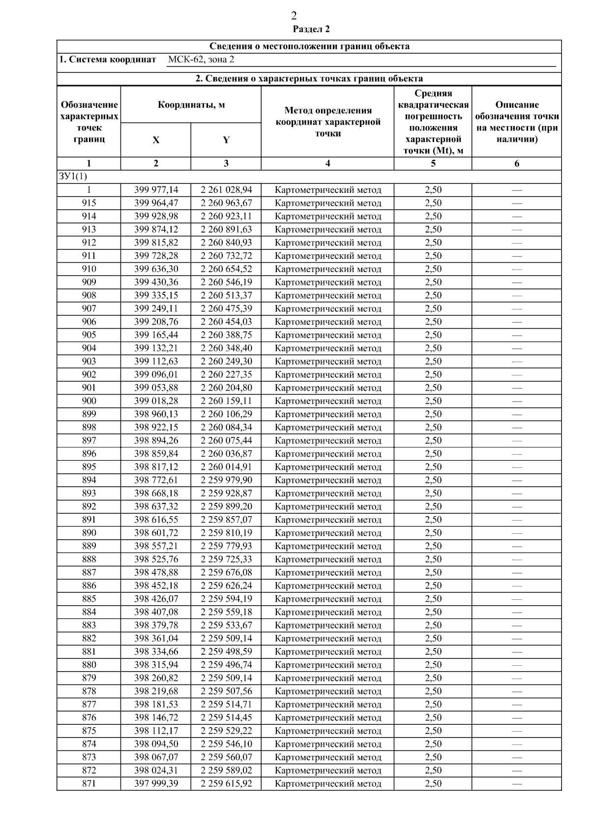
Страница №4 из 79:
Увеличить