Официальное опубликование правовых актов
ОФИЦИАЛЬНОЕ ОПУБЛИКОВАНИЕ
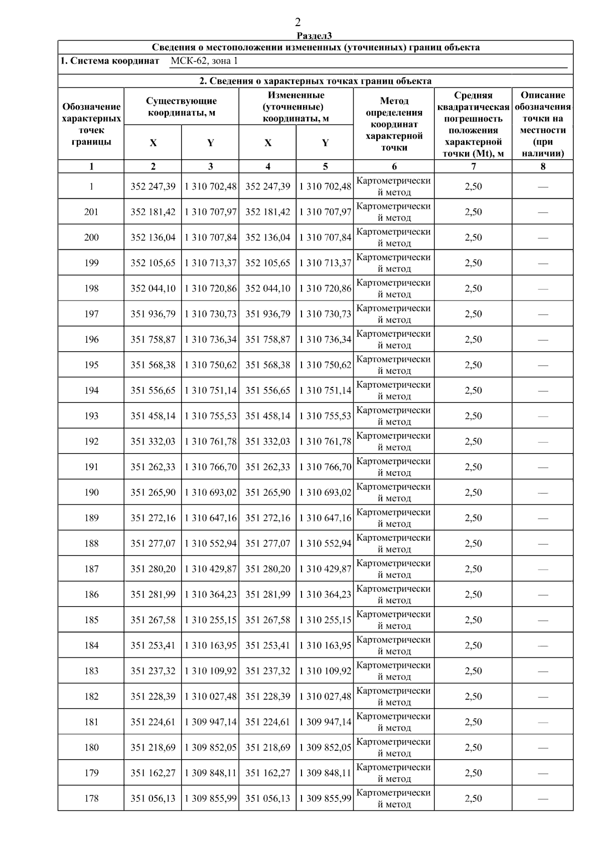
Постановление Главного управления архитектуры и градостроительства Рязанской области от 10.03.2026 № 191-п
"О внесении изменений в правила землепользования и застройки муниципального образования - Корневское сельское поселение Скопинского муниципального района Рязанской области"
(Зарегистрирован 11.03.2026 № 273)
Номер опубликования: 6201202603170017
Дата опубликования: 17.03.2026
Страница №69 из 77:
Увеличить