Официальное опубликование правовых актов
ОФИЦИАЛЬНОЕ ОПУБЛИКОВАНИЕ
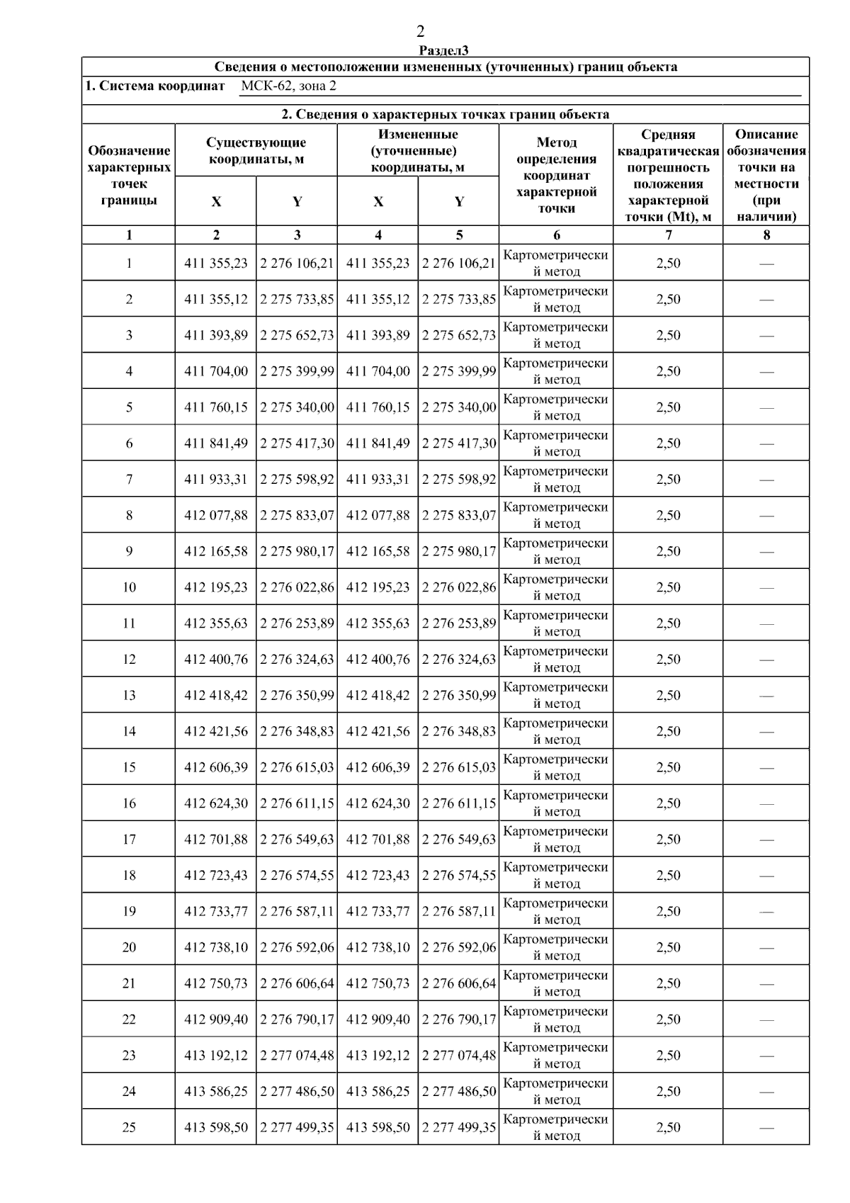
Постановление Главного управления архитектуры и градостроительства Рязанской области от 20.03.2026 № 214-п
"О внесении изменения в генеральный план муниципального образования – Сасовский муниципальный округ Рязанской области применительно к территории города областного значения Сасово Рязанской области"
(Зарегистрирован 20.03.2026 № 316)
Номер опубликования: 6201202603250007
Дата опубликования: 25.03.2026
Страница №4 из 13:
Увеличить