Официальное опубликование правовых актов
ОФИЦИАЛЬНОЕ ОПУБЛИКОВАНИЕ
Постановление Главного управления архитектуры и градостроительства Рязанской области от 24.03.2026 № 225-п
"О внесении изменений в генеральный план муниципального образования – Мурминское сельское поселение Рязанского муниципального района Рязанской области"
(Зарегистрирован 25.03.2026 № 337)
Номер опубликования: 6201202603260012
Дата опубликования: 26.03.2026
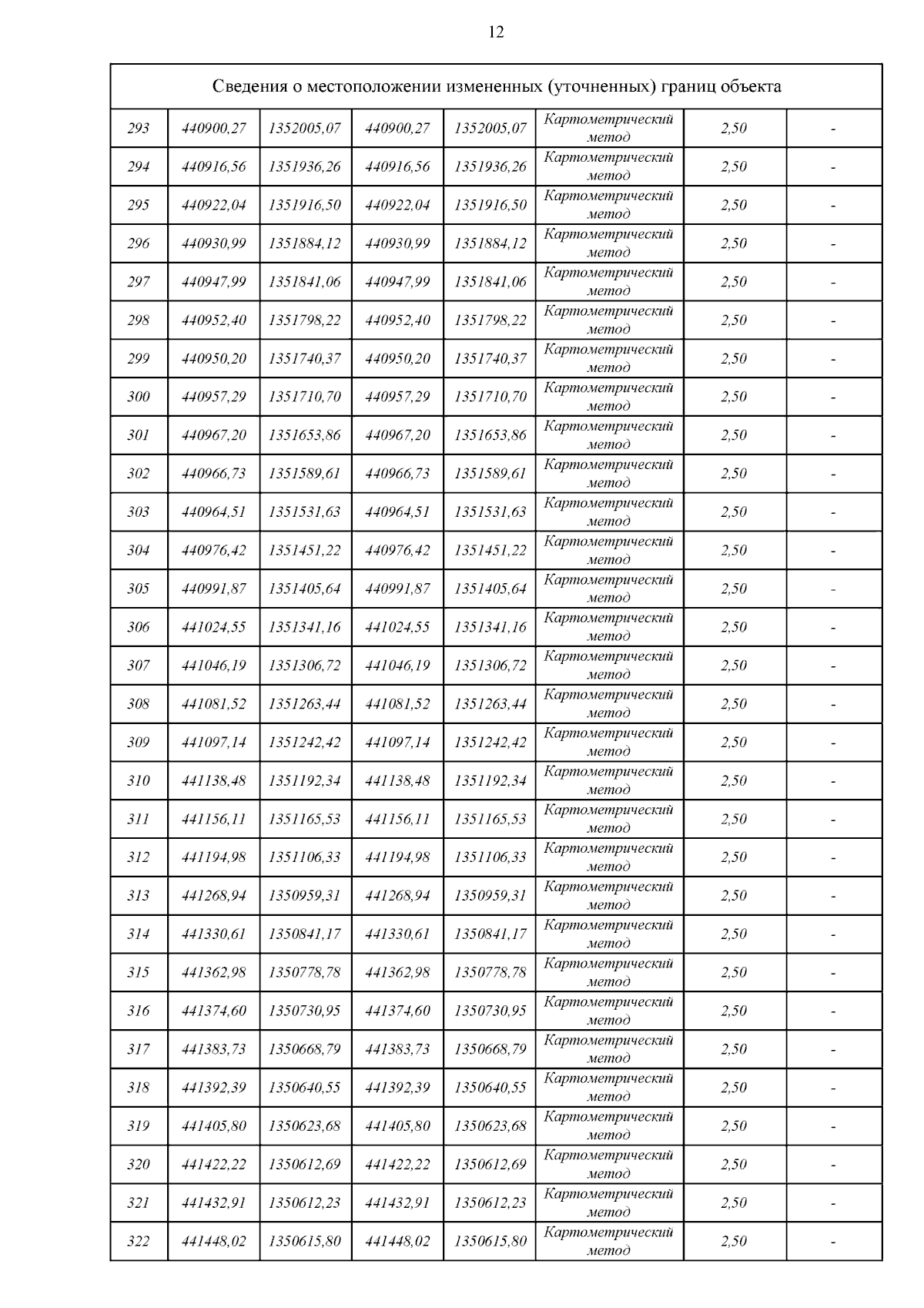
Страница №18 из 29:
Увеличить