Официальное опубликование правовых актов
ОФИЦИАЛЬНОЕ ОПУБЛИКОВАНИЕ
Постановление Главного управления архитектуры и градостроительства Рязанской области от 31.03.2026 № 245-п
"О внесении изменений в правила землепользования и застройки муниципального образования – Павелецкое городское поселение Скопинского муниципального района Рязанской области"
(Зарегистрирован 01.04.2026 № 366)
Номер опубликования: 6201202604030010
Дата опубликования: 03.04.2026
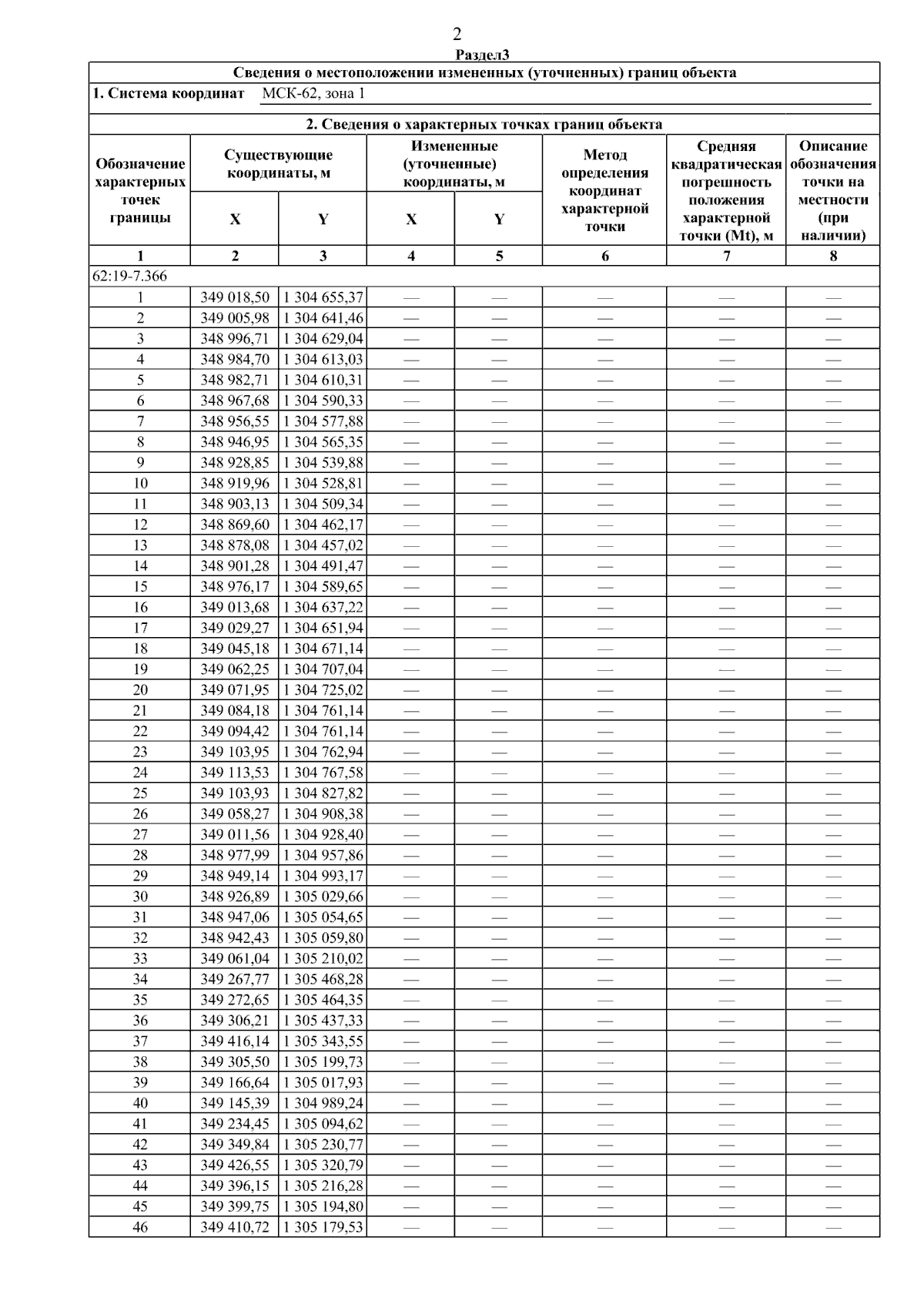
Страница №40 из 67:
Увеличить