Официальное опубликование правовых актов
ОФИЦИАЛЬНОЕ ОПУБЛИКОВАНИЕ
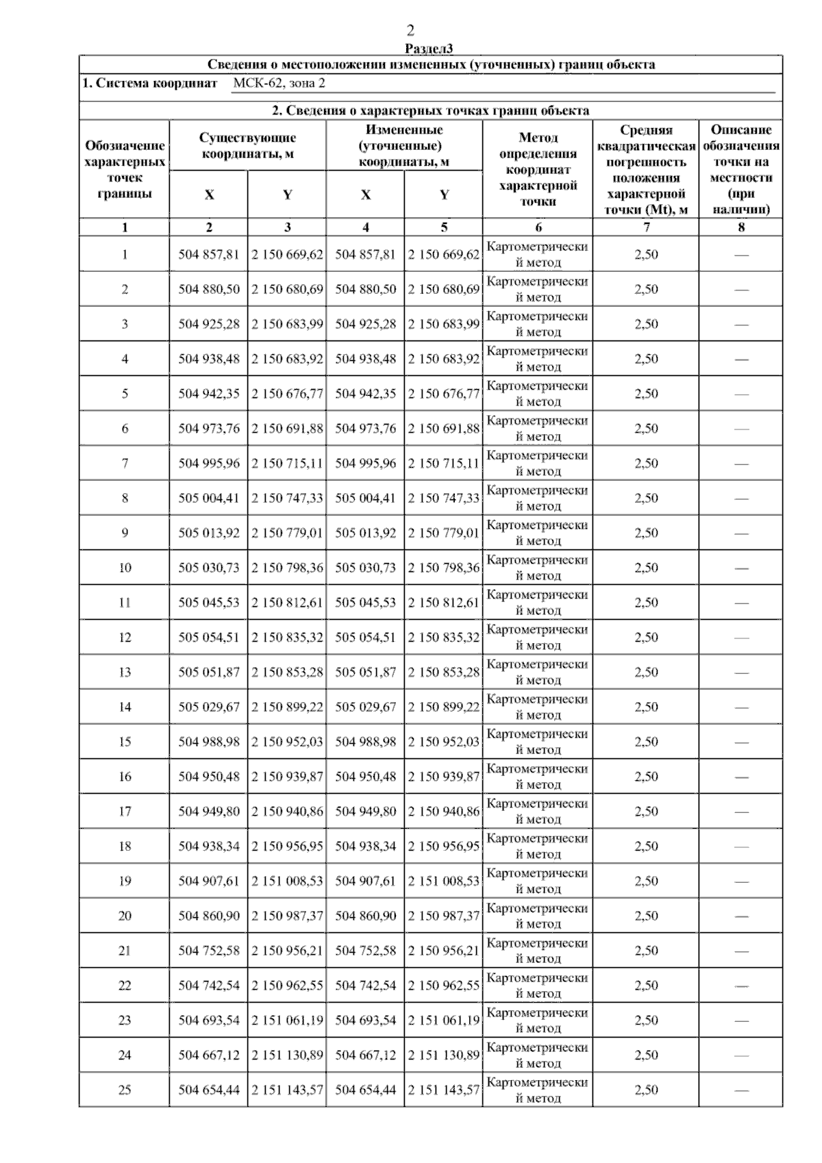
Постановление Главного управления архитектуры и градостроительства Рязанской области от 08.04.2026 № 253-п
"О внесении изменения в генеральный план муниципального образования – Болоньское сельское поселение Клепиковского муниципального района Рязанской области"
(Зарегистрирован 09.04.2026 № 383)
Номер опубликования: 6201202604130003
Дата опубликования: 13.04.2026
Страница №4 из 6:
Увеличить