Официальное опубликование правовых актов
ОФИЦИАЛЬНОЕ ОПУБЛИКОВАНИЕ
Постановление Главного управления архитектуры и градостроительства Рязанской области от 09.04.2026 № 264-п
"О внесении изменений в правила землепользования и застройки муниципального образования - Сасовский муниципальный округ Рязанской области применительно к территории города областного значения Сасово Рязанской области"
(Зарегистрирован 10.04.2026 № 394)
Номер опубликования: 6201202604140003
Дата опубликования: 14.04.2026
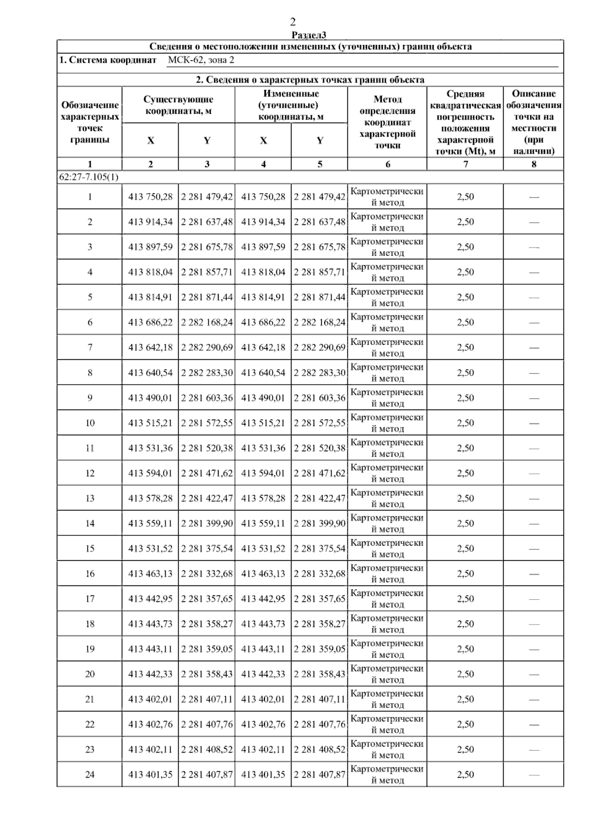
Страница №145 из 169:
Увеличить