Официальное опубликование правовых актов
ОФИЦИАЛЬНОЕ ОПУБЛИКОВАНИЕ
Постановление Главного управления архитектуры и градостроительства Рязанской области от 10.04.2026 № 265-п
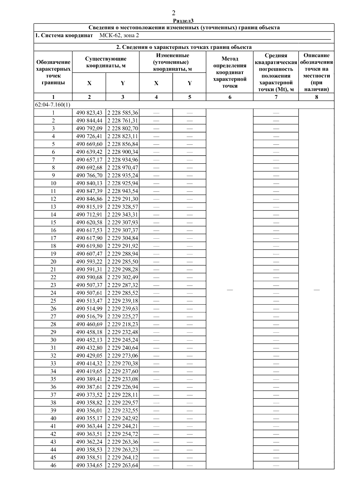
"О внесении изменений в правила землепользования и застройки муниципального образования - Касимовский муниципальный округ Рязанской области применительно к территориям р.п. Гусь-Железный, п. Красная Нива, с. Лався, д. Чаур, д. Чуликса с прилегающей территорией в кадастровых кварталах 62:04:2210101, 62:04:2210102, 62:04:2210105, 62:04:2240101, 62:04:2240201, 62:04:0490101, за исключением территории, расположенной в границах Погостинского, Гиблицкого, Клетинского, Лощининского, Булгаковского, Торбаевского и Дмитриевского сельских округов, и р.п. Сынтул с территорией в кадастровых кварталах 62:04:0040102, 62:04:0040103"
(Зарегистрирован 13.04.2026 № 396)
Номер опубликования: 6201202604150001
Дата опубликования: 15.04.2026
Страница №40 из 48:
Увеличить