Официальное опубликование правовых актов
ОФИЦИАЛЬНОЕ ОПУБЛИКОВАНИЕ
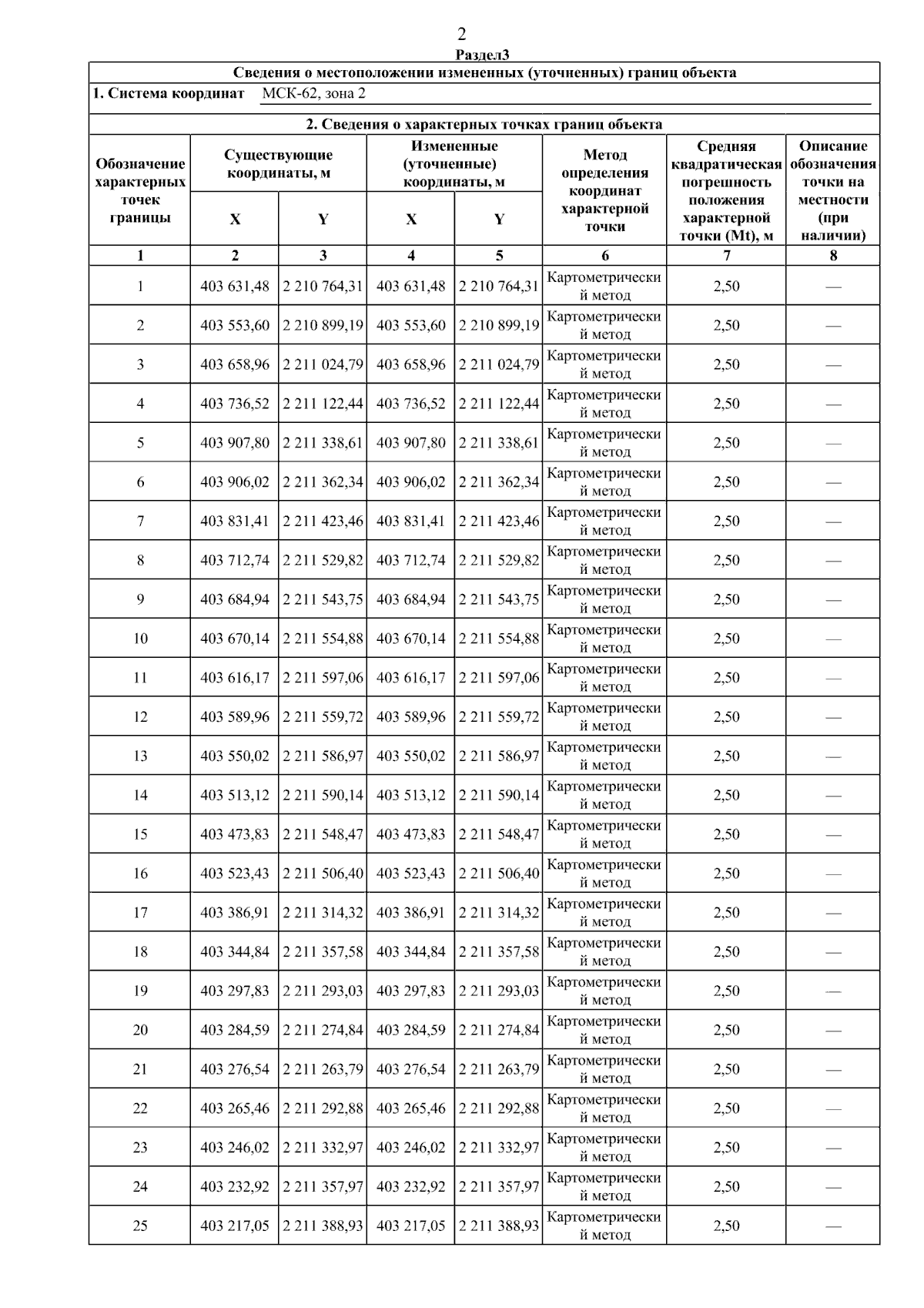
Постановление Главного управления архитектуры и градостроительства Рязанской области от 10.04.2026 № 266-п
"О внесении изменения в генеральный план муниципального образования – Желудевское сельское поселение Шиловского муниципального района Рязанской области"
(Зарегистрирован 13.04.2026 № 397)
Номер опубликования: 6201202604150003
Дата опубликования: 15.04.2026
Страница №4 из 11:
Увеличить