Официальное опубликование правовых актов
ОФИЦИАЛЬНОЕ ОПУБЛИКОВАНИЕ
Постановление Главного управления архитектуры и градостроительства Рязанской области от 10.04.2026 № 269-п
"О внесении изменений в правила землепользования и застройки муниципального образования - Инякинское сельское поселение Шиловского муниципального района Рязанской области"
(Зарегистрирован 13.04.2026 № 400)
Номер опубликования: 6201202604150004
Дата опубликования: 15.04.2026
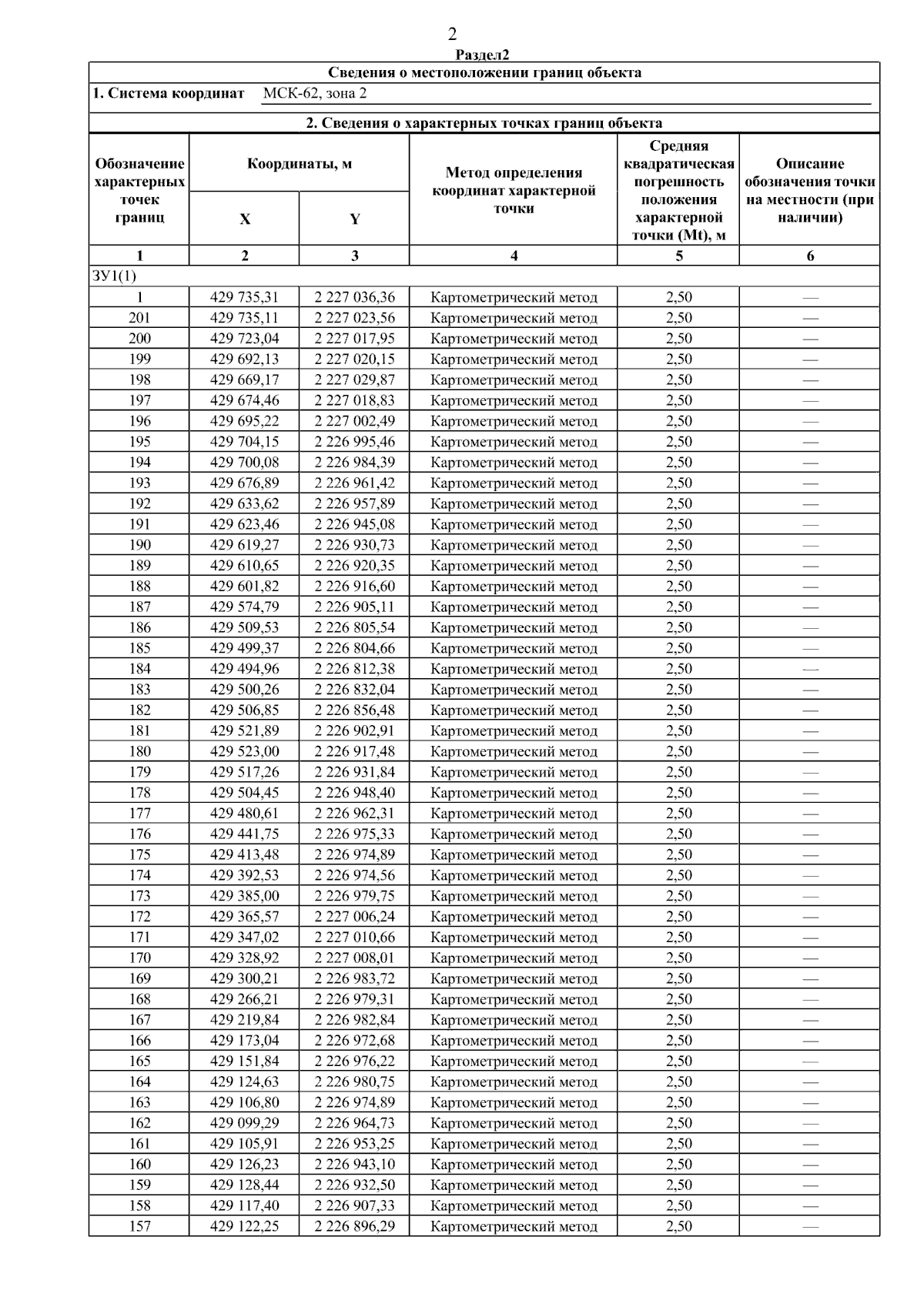
Страница №4 из 285:
Увеличить