Официальное опубликование правовых актов
ОФИЦИАЛЬНОЕ ОПУБЛИКОВАНИЕ
Постановление Главного управления архитектуры и градостроительства Рязанской области от 14.04.2026 № 281-п
"О внесении изменения в генеральный план муниципального образования – Задубровское сельское поселение Шиловского муниципального района Рязанской области"
(Зарегистрирован 16.04.2026 № 414)
Номер опубликования: 6201202604170008
Дата опубликования: 17.04.2026
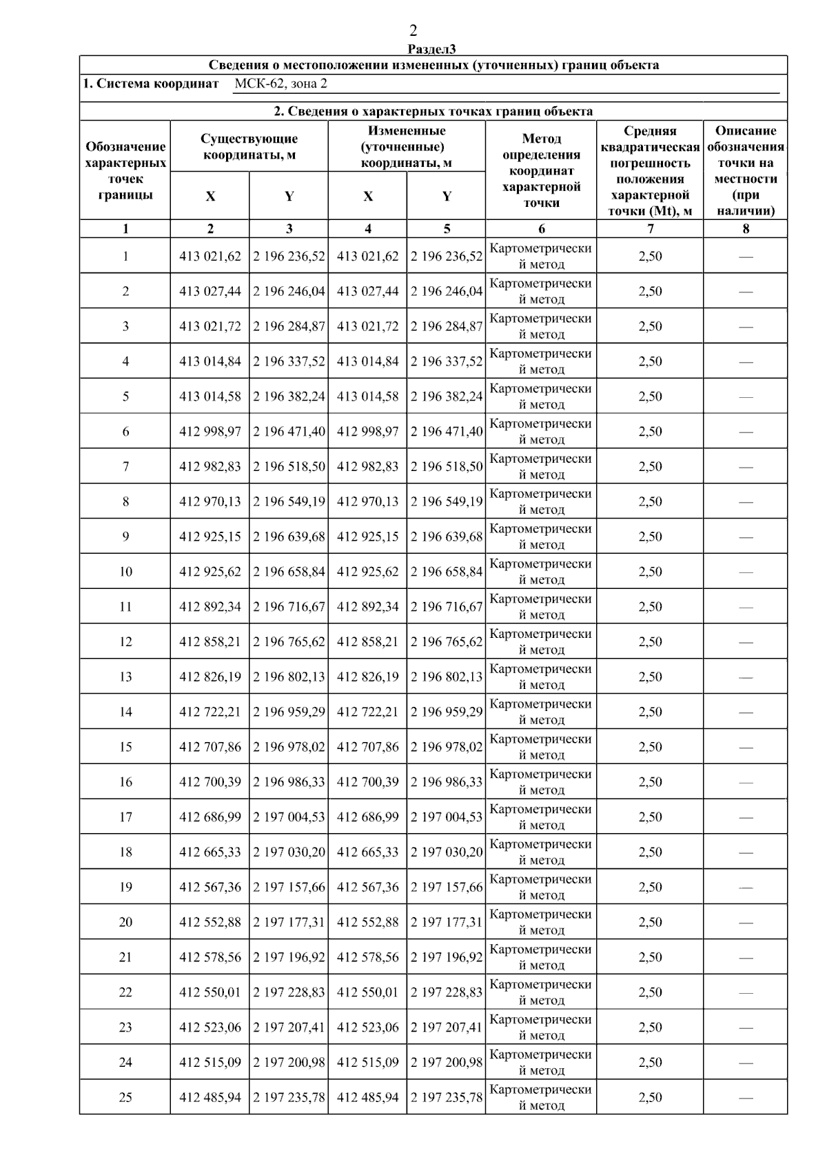
Страница №4 из 10:
Увеличить