Официальное опубликование правовых актов
ОФИЦИАЛЬНОЕ ОПУБЛИКОВАНИЕ
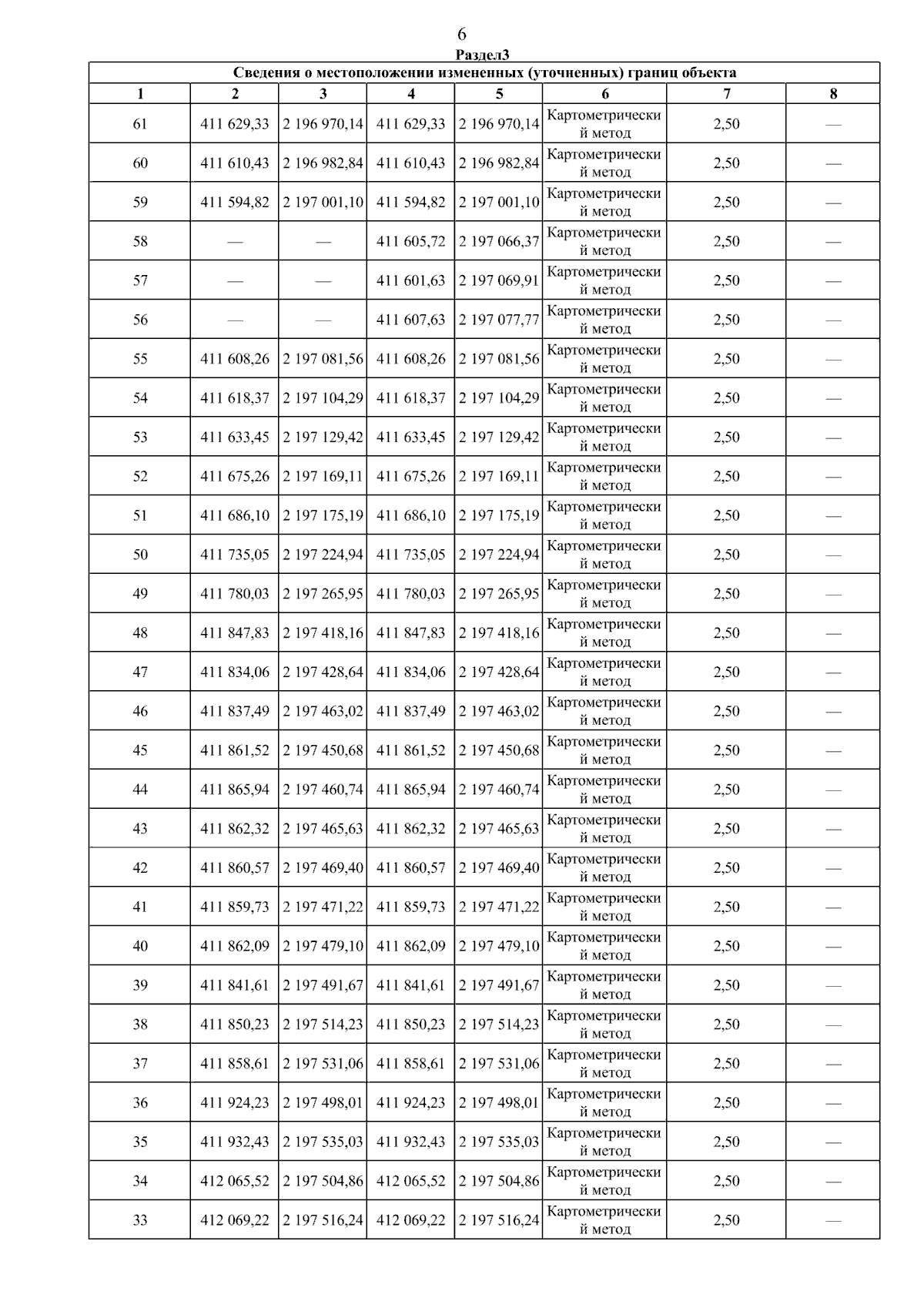
Постановление Главного управления архитектуры и градостроительства Рязанской области от 14.04.2026 № 282-п
"О внесении изменений в правила землепользования и застройки муниципального образования – Задубровское сельское поселение Шиловского муниципального района Рязанской области"
(Зарегистрирован 16.04.2026 № 415)
Номер опубликования: 6201202604170011
Дата опубликования: 17.04.2026
Страница №149 из 157:
Увеличить