Официальное опубликование правовых актов
ОФИЦИАЛЬНОЕ ОПУБЛИКОВАНИЕ
Постановление Главного управления архитектуры и градостроительства Рязанской области от 15.04.2026 № 296-п
"О внесении изменений в правила землепользования и застройки муниципального образования – Сапожковское городское поселение Сапожковского муниципального района Рязанской области"
(Зарегистрирован 16.04.2026 № 431)
Номер опубликования: 6201202604170023
Дата опубликования: 17.04.2026
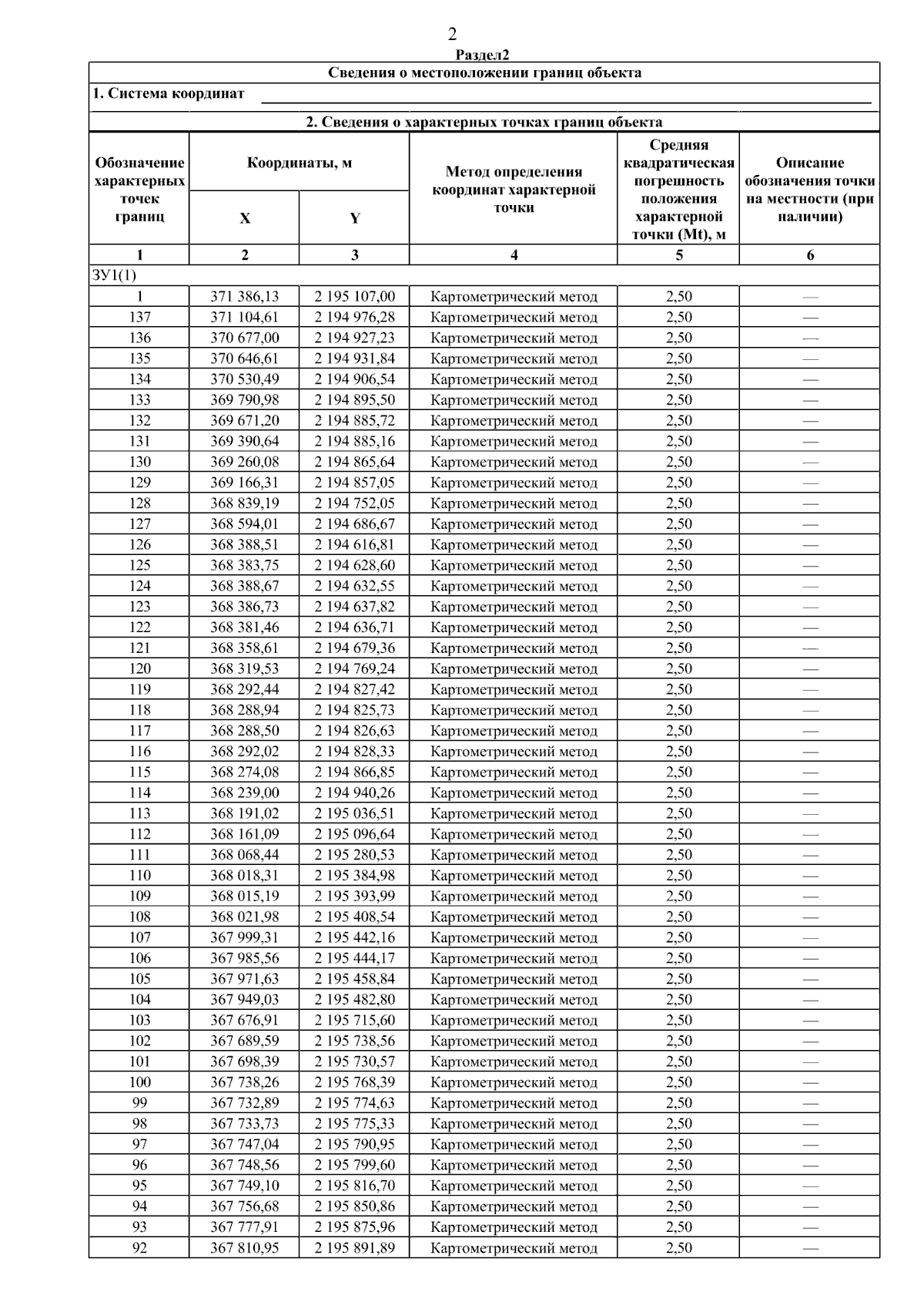
Страница №5 из 272:
Увеличить