Официальное опубликование правовых актов
ОФИЦИАЛЬНОЕ ОПУБЛИКОВАНИЕ
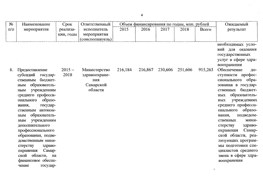
Постановление Правительства Самарской области от 13.05.2016 № 246
"О внесении изменений в постановление Правительства Самарской области от 27.11.2013 № 674 "Об утверждении государственной программы Самарской области "Развитие здравоохранения в Самарской области" на 2014 – 2018 годы"
Номер опубликования: 6300201605170017
Дата опубликования: 17.05.2016
Страница №48 из 63:
Увеличить