Официальное опубликование правовых актов
ОФИЦИАЛЬНОЕ ОПУБЛИКОВАНИЕ
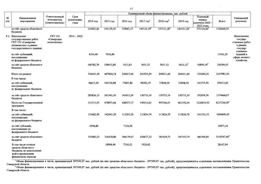
Постановление Правительства Самарской области от 09.08.2016 № 442
"О внесении изменений в постановление Правительства Самарской области от 14.11.2013 № 621 "Об утверждении государственной программы Самарской области "Развитие лесного хозяйства Самарской области на 2014 – 2018 годы и на период до 2022 года"
Номер опубликования: 6300201608110008
Дата опубликования: 11.08.2016
Страница №82 из 92:
Увеличить